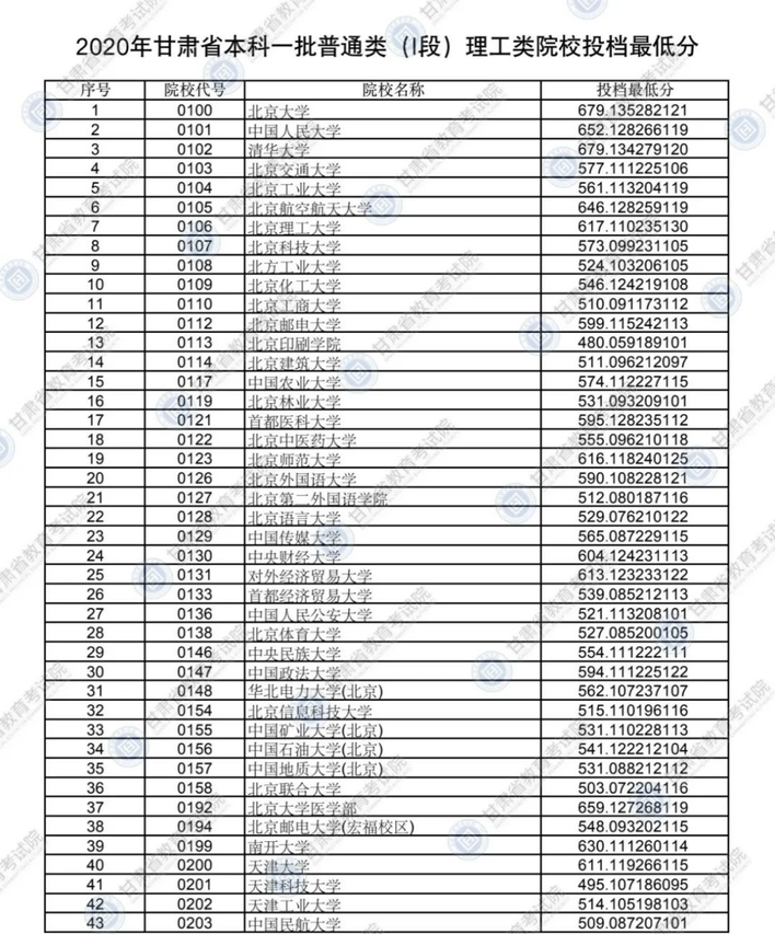
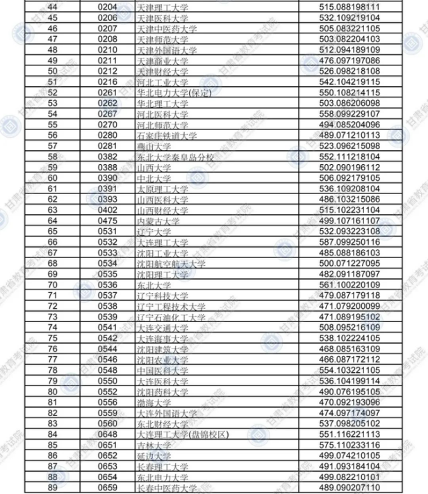
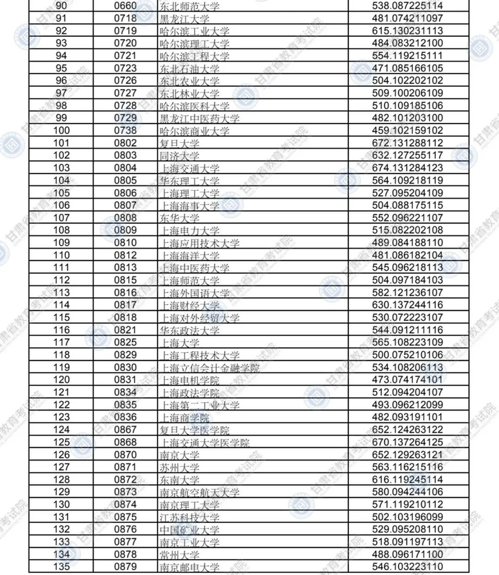
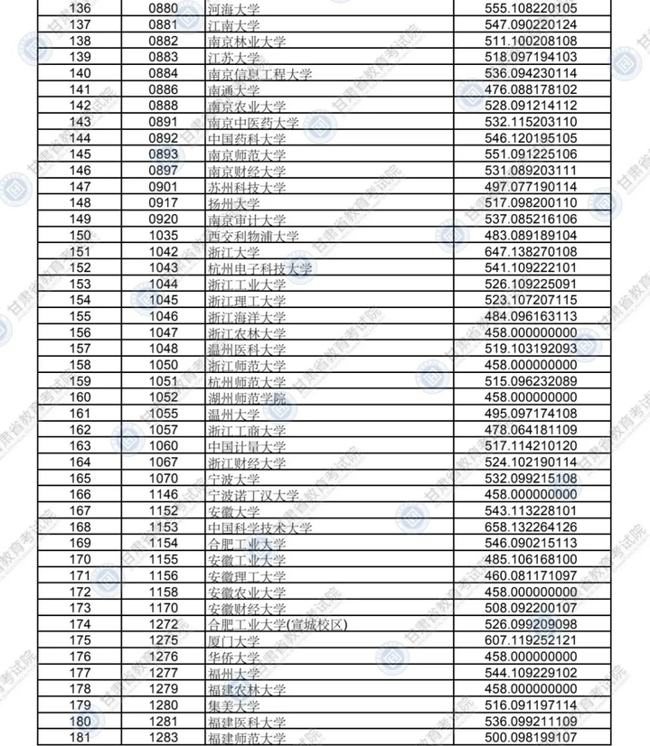
今天,东南教育网小编为大家带来了甘肃:本科一批普通类(I段)理工类院校投档最低分,希望能帮助到大家,一起来看看吧!
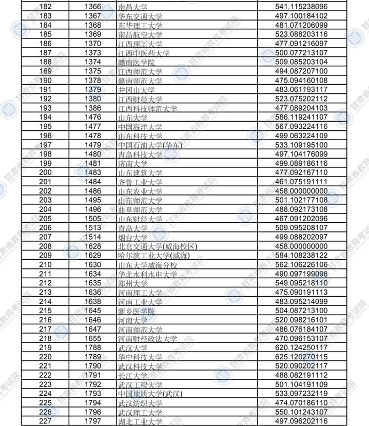
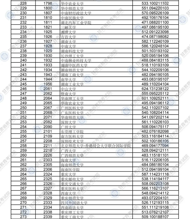
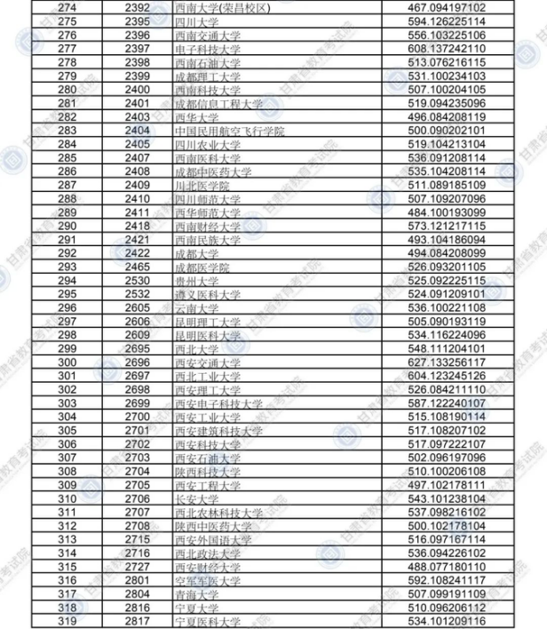
近日,甘肃省招生考试院发布了2020年甘肃省普通高校招生录取本科一批普通类(I段)理工类院校投档最低分,具体内容如下:









以上就是东南教育网整理的甘肃:本科一批普通类(I段)理工类院校投档最低分相关内容,想要了解更多信息,敬请查阅东南教育网。
本文标题:甘肃:本科一批普通类(I段)理工类院校投档最低分
wap地址: https://m.dngk.com/newsdetail/35198.html