当前位置:首页 > 高考资讯 > 高考分数线

2020浙江高考一分一段表 艺术类第二段成绩排名及累计人数

今天,东南教育网小编为大家带来了2020浙江高考一分一段表 艺术类第二段成绩排名及累计人数,希望能帮助到大家,一起来看看吧!

根据浙江省普通高校招生工作进程,目前,浙江省2020年普通高校招生艺术类二段线成绩分数段表已经公布。下面小编为大家详细介绍一下,供大家参考。

浙江高考艺术类第二段成绩排名

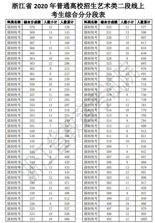
2020浙江高考一分一段表 艺术类第二段成绩排名及累计人数

2020浙江高考一分一段表 艺术类第二段成绩排名及累计人数

2020浙江高考一分一段表 艺术类第二段成绩排名及累计人数

2020浙江高考一分一段表 艺术类第二段成绩排名及累计人数

2020浙江高考一分一段表 艺术类第二段成绩排名及累计人数

2020浙江高考一分一段表 艺术类第二段成绩排名及累计人数

2020浙江高考一分一段表 艺术类第二段成绩排名及累计人数

2020浙江高考一分一段表 艺术类第二段成绩排名及累计人数

2020浙江高考一分一段表 艺术类第二段成绩排名及累计人数

2020浙江高考一分一段表 艺术类第二段成绩排名及累计人数

2020浙江高考一分一段表 艺术类第二段成绩排名及累计人数

2020浙江高考一分一段表 艺术类第二段成绩排名及累计人数

2020浙江高考一分一段表 艺术类第二段成绩排名及累计人数

2020浙江高考一分一段表 艺术类第二段成绩排名及累计人数

以上就是东南教育网整理的2020浙江高考一分一段表 艺术类第二段成绩排名及累计人数相关内容,想要了解更多信息,敬请查阅东南教育网。

责任编辑:
本文标题:2020浙江高考一分一段表 艺术类第二段成绩排名及累计人数
wap地址: https://m.dngk.com/newsdetail/35980.html

与“2020浙江高考一分一段表 艺术类第二段成绩排名及累计人数”相关推荐