当前位置:首页 > 高考资讯 > 高考分数线

2020山西高考二本A类院校投档线及院校代码公布

今天,东南教育网小编为大家带来了2020山西高考二本A类院校投档线及院校代码公布,希望能帮助到大家,一起来看看吧!

山西高考二本A类院校投档线已经公布,考生们要及时查看,这样会比较放心,具体来看一下:

山西高考二本A类院校投档线公布

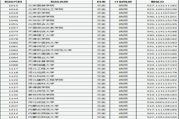
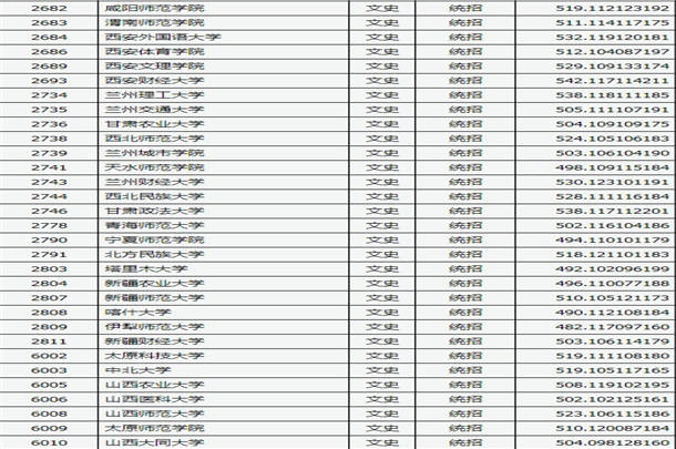
文史类

2020山西高考二本A类院校投档线及院校代码公布

2020山西高考二本A类院校投档线及院校代码公布

2020山西高考二本A类院校投档线及院校代码公布

2020山西高考二本A类院校投档线及院校代码公布

2020山西高考二本A类院校投档线及院校代码公布

2020山西高考二本A类院校投档线及院校代码公布

2020山西高考二本A类院校投档线及院校代码公布

2020山西高考二本A类院校投档线及院校代码公布

2020山西高考二本A类院校投档线及院校代码公布

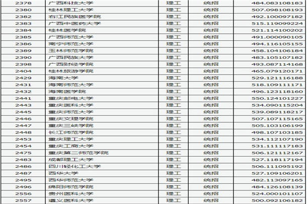
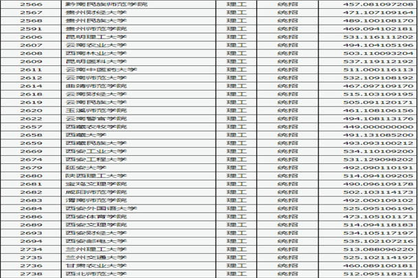
理工类

2020山西高考二本A类院校投档线及院校代码公布

2020山西高考二本A类院校投档线及院校代码公布

2020山西高考二本A类院校投档线及院校代码公布

2020山西高考二本A类院校投档线及院校代码公布

2020山西高考二本A类院校投档线及院校代码公布

2020山西高考二本A类院校投档线及院校代码公布

2020山西高考二本A类院校投档线及院校代码公布

2020山西高考二本A类院校投档线及院校代码公布

2020山西高考二本A类院校投档线及院校代码公布

2020山西高考二本A类院校投档线及院校代码公布

2020山西高考二本A类院校投档线及院校代码公布

以上就是东南教育网整理的2020山西高考二本A类院校投档线及院校代码公布相关内容,想要了解更多信息,敬请查阅东南教育网。

责任编辑:
本文标题:2020山西高考二本A类院校投档线及院校代码公布
wap地址: https://m.dngk.com/newsdetail/35987.html

与“2020山西高考二本A类院校投档线及院校代码公布”相关推荐