当前位置:首页 > 高考资讯 > 高考分数线

2020广东本科普通批次理科投档分数线及计划数与投档人数一览表

今天,东南教育网小编为大家带来了2020广东本科普通批次理科投档分数线及计划数与投档人数一览表,希望能帮助到大家,一起来看看吧!

根据招生录取日程安排,2020年广东高考本科批次院校录取将于21日结束。目前,广东本科普通批次理科投档分数线已经公布,下面小编为大家详细介绍一下,供大家参考。

广东本科普通批理科投档分数线

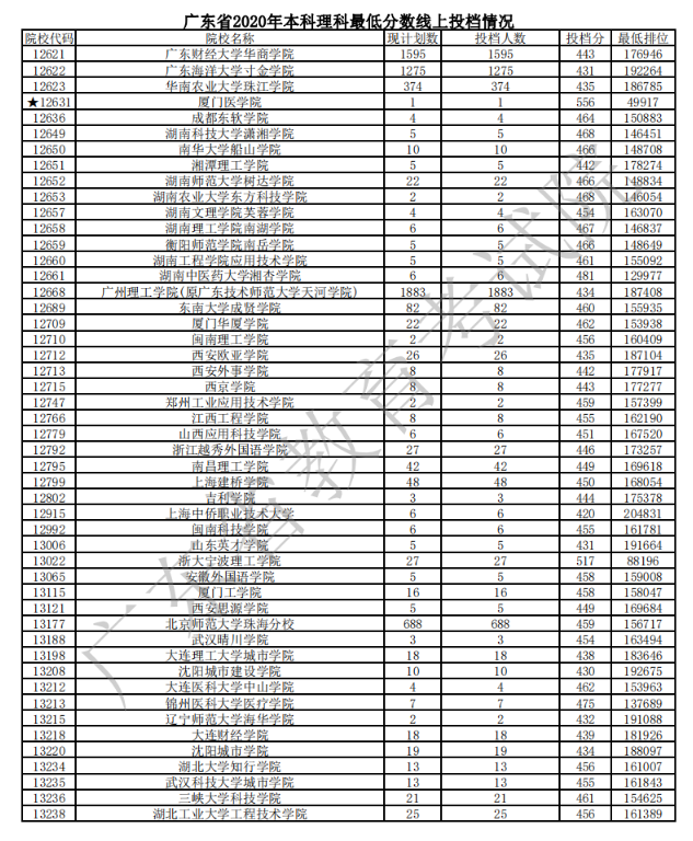
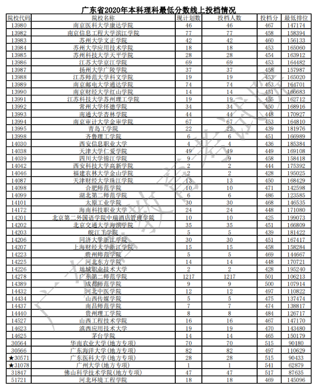
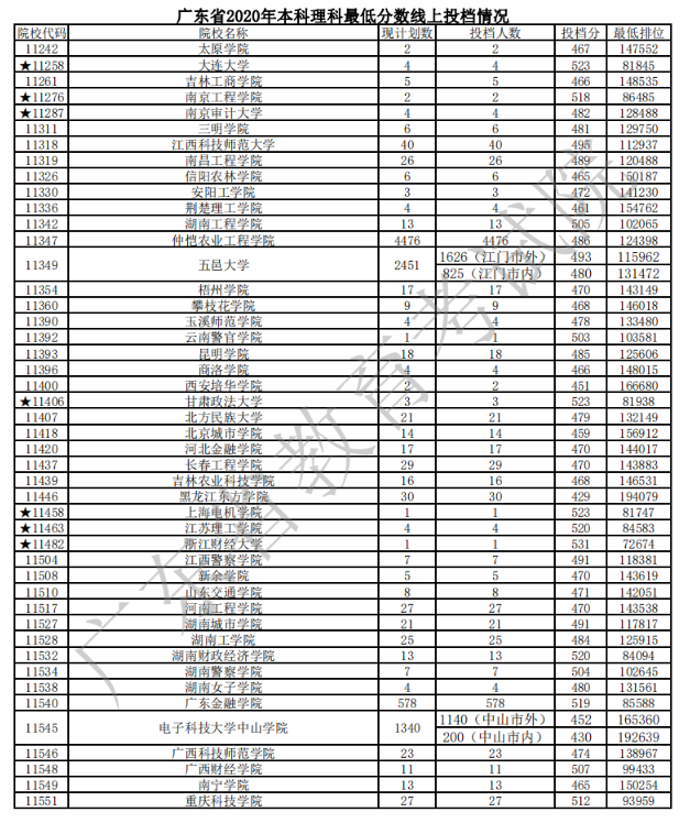
2020广东本科普通批次理科投档分数线及计划数与投档人数一览表

2020广东本科普通批次理科投档分数线及计划数与投档人数一览表

2020广东本科普通批次理科投档分数线及计划数与投档人数一览表

2020广东本科普通批次理科投档分数线及计划数与投档人数一览表

2020广东本科普通批次理科投档分数线及计划数与投档人数一览表

2020广东本科普通批次理科投档分数线及计划数与投档人数一览表

2020广东本科普通批次理科投档分数线及计划数与投档人数一览表

2020广东本科普通批次理科投档分数线及计划数与投档人数一览表

2020广东本科普通批次理科投档分数线及计划数与投档人数一览表

2020广东本科普通批次理科投档分数线及计划数与投档人数一览表

2020广东本科普通批次理科投档分数线及计划数与投档人数一览表

2020广东本科普通批次理科投档分数线及计划数与投档人数一览表

2020广东本科普通批次理科投档分数线及计划数与投档人数一览表

2020广东本科普通批次理科投档分数线及计划数与投档人数一览表

2020广东本科普通批次理科投档分数线及计划数与投档人数一览表

以上就是东南教育网整理的2020广东本科普通批次理科投档分数线及计划数与投档人数一览表相关内容,想要了解更多信息,敬请查阅东南教育网。

责任编辑:
本文标题:2020广东本科普通批次理科投档分数线及计划数与投档人数一览表
wap地址: https://m.dngk.com/newsdetail/37448.html

与“2020广东本科普通批次理科投档分数线及计划数与投档人数一览表”相关推荐