当前位置:首页 > 高考试题 > 理综

2020新疆高考理综试题及答案

今天,东南教育网小编为大家带来了2020新疆高考理综试题及答案,希望能帮助到大家,一起来看看吧!

绝密★启用前

2020年普通高等学校招生全国统一考试

理科综合能力测试

注意事项:

1.答卷前,考生务必将自己的姓名、准考证号填写在答题卡上。

2.回答选择题时,选出每小题答案后,用铅笔把答题卡上对应题目的答案标号涂黑,如需改动,用橡皮擦干净后,再选涂其它答案标号。回答非选择题时,将答案写在答题卡上,写在本试卷上无效。

3.考试结束后,将本试卷和答题卡一并交回。

可能用到的相对原子质量:H 1 C 12 N 14 O 16 Mg 24 S 32 Fe 56 Cu 64

一、选择题:本题共13个小题,每小题6分。共78分,在每小题给出的四个选项中,只有一项是符合题目要求的。

1.新冠病毒(SARS-CoV-2)和肺炎双球菌均可引发肺炎,但二者的结构不同,新冠病毒是一种含有单链 RNA 的病毒。下列相关叙述正确的是

A.新冠病毒进入宿主细胞的跨膜运输方式属于被动运输

B.新冠病毒与肺炎双球菌均可利用自身的核糖体进行蛋白质合成

C.新冠病毒与肺炎双球菌二者遗传物质所含有的核苷酸是相同的

D.新冠病毒或肺炎双球菌的某些蛋白质可作为抗原引起机体免疫反应

2.当人体的免疫系统将自身物质当作外来异物进行攻击时,可引起自身免疫病。下列属于自身免疫病的是

A.艾滋病

B.类风湿性关节炎

C.动物毛屑接触性鼻炎

D.抗 维生素 D佝偻病

3.下列关于生物学实验的叙述,错误的是

A.观察活细胞中的线粒体时,可以用健那绿染液进行染色

B.探究人体红细胞因失水而发生的形态变化时,可用肉眼直接观察

C.观察细胞中RNA和 DNA 的分布时,可用吡罗红甲基绿染色剂染色

D.用细胞融合的方法探究细胞膜流动性时,可用荧光染料标记膜蛋白

4.关于高等植物细胞中染色体组的叙述,错误的是

A.二倍体植物的配子只含有一个染色体组

B.每个染色体组中的染色体均为非同源染色体

C.每个染色体组中都含有常染色体和性染色体

D.每个染色体组中各染色体DNA的碱基序列不同

5.取某植物的成熟叶片,用打孔器获取叶圆片,等分成两份,分别放入浓度(单位为g/mL)相同的甲糖溶液和乙糖溶液中,得到甲、乙两个实验组(甲糖的相对分子质量约为乙糖的2倍)。水分交换达到平衡时,检测甲、乙两组的溶液浓度,发现甲组中甲糖溶液浓度升高。在此期间叶细胞和溶液之间没有溶质交换。据此判断下列说法错误的是

A.甲组叶细胞吸收了甲糖溶液中的水使甲糖溶液浓度升高

B.若测得乙糖溶液浓度不变,则乙组叶细胞的净吸水量为零

C.若测得乙糖溶液浓度降低,则乙组叶肉细胞可能发生了质壁分离

D.若测得乙糖溶液浓度升高,则叶细胞的净吸水量乙组大于甲组

6.河水携带泥沙流入大海时,泥沙会在入海口淤积形成三角洲。在这个过程中,会出现3种植物群落类型:①以芦苇为主的植物群落(生长在淡水环境中),②以赤碱蓬为主的植物群落(生长在海水环境中),③草甸植物群落(生长在陆地环境中)。该三角洲上的植物群落是通过群落演替形成的,演替的顺序是

A.②①③

B.③②①

C.①③②

D.③①②

7.北宋沈括《梦溪笔谈》中记载:“信州铅山有苦泉,流以为涧。挹其水熬之则成胆矾,烹胆矾则成铜。熬胆矾铁釜,久之亦化为铜”。下列有关叙述错误的是

A.胆矾的化学式为CuSO4

B.胆矾可作为湿法冶铜的原料

C.“熬之则成胆矾”是浓缩结晶过程

D.“熬胆矾铁釜,久之亦化为铜”是发生了置换反应

8.某白色固体混合物由NaCl、KCl、MgSO4、CaCO3中的两种组成,进行如下实验:① 混合物溶于水,得到澄清透明溶液;② 做焰色反应,通过钴玻璃可观察到紫色;③ 向溶液中加碱,产生白色沉淀。根据实验现象可判断其组成为

A.KCl、NaCl B.KCl、MgSO4

C.KCl、CaCO3 D.MgSO4、NaCl

9.二氧化碳的过量排放可对海洋生物的生存环境造成很大影响,其原理如下图所示。下列叙述错误的是

2020新疆高考理综试题及答案

2020新疆高考理综试题及答案

2020新疆高考理综试题及答案

A.Mpy只有两种芳香同分异构体 B.Epy中所有原子共平面

C.Vpy是乙烯的同系物 D.反应②的反应类型是消去反应

11.据文献报道:Fe(CO)5催化某反应的一种反应机理如下图所示。下列叙述错误的是

2020新疆高考理综试题及答案

A.OH-参与了该催化循环 B.该反应可产生清洁燃料H2

C.该反应可消耗温室气体CO2 D.该催化循环中Fe的成键数目发生变化

12.电致变色器件可智能调控太阳光透过率,从而实现节能。下图是某电致变色器件的示意图。当通电时,Ag+注入到无色WO3薄膜中,生成AgxWO3,器件呈现蓝色,对于该变化过程,下列叙述错误的是

2020新疆高考理综试题及答案

A.Ag为阳极 B.Ag+由银电极向变色层迁移

C.W元素的化合价升高 D.总反应为:WO3+xAg=AgxWO3

13.一种由短周期主族元素组成的化合物(如图所示),具有良好的储氢性能,其中元素W、X、Y、Z的原子序数依次增大、且总和为24。下列有关叙述错误的是

2020新疆高考理综试题及答案

A.该化合物中,W、X、Y之间均为共价键

B.Z的单质既能与水反应,也可与甲醇反应

C.Y的最高化合价氧化物的水化物为强酸

D.X的氟化物XF3中原子均为8电子稳定结构

二、选择题:本题共8小题,每小题6分。在每小题给出的四个选项中,第14~17题只有一项符合题目要求,第18~21题有多项符合题目要求。全部选对的得6分,选对但不全的得3分,有选错的得0分。

14.管道高频焊机可以对由钢板卷成的圆管的接缝实施焊接。焊机的原理如图所示,圆管通过一个接有高频交流电源的线圈,线圈所产生的交变磁场使圆管中产生交变电流,电流产生的热量使接缝处的材料熔化将其焊接。焊接过程中所利用的电磁学规律的发现者为

2020新疆高考理综试题及答案

A.库仑 B.霍尔 C.洛伦兹 D.法拉第

15.若一均匀球形星体的密度为ρ,引力常量为G,则在该星体表面附近沿圆轨道绕其运动的卫星的周期是

2020新疆高考理综试题及答案

A.20 B.18 C.9.0 D.3.0

17.CT扫描是计算机X射线断层扫描技术的简称,CT扫描机可用于对多种病情的探测。图(a)是某种CT机主要部分的剖面图,其中X射线产生部分的示意图如图(b)所示。图(b)中M、N之间有一电子束的加速电场,虚线框内有匀强偏转磁场;经调节后电子束从静止开始沿带箭头的实线所示的方向前进,打到靶上,产生X射线(如图中带箭头的虚线所示);将电子束打到靶上的点记为P点。则

2020新疆高考理综试题及答案

A.M处的电势高于N处的电势

B.增大M、N之间的加速电压可使P点左移

C.偏转磁场的方向垂直于纸面向外

D.增大偏转磁场磁感应强度的大小可使P点左移

18.氘核

2020新疆高考理综试题及答案

可通过一系列聚变反应释放能量,其总效果可用反应式

2020新疆高考理综试题及答案

表示。海水中富含氘,已知1kg海水中含有的氘核约为1.0×1022个,若全都发生聚变反应,其释放的能量与质量为M的标准煤燃烧时释放的热量相等;已知1 kg标准煤燃烧释放的热量约为2.9×107 J,1 MeV= 1.6×10–13 J,则M约为

A.40 kg B.100 kg C.400 kg D.1 000 kg

19.特高压输电可使输送中的电能损耗和电压损失大幅降低。我国已成功掌握并实际应用了特高压输电技术。假设从A处采用550 kV的超高压向B处输电,输电线上损耗的电功率为∆P,到达B处时电压下降了∆U。在保持A处输送的电功率和输电线电阻都不变的条件下,改用1 100 kV特高压输电,输电线上损耗的电功率变为∆P′,到达B处时电压下降了∆U′。不考虑其他因素的影响,则

A.∆P′=1/4∆P B.∆P′=1/2∆P C.∆U′=1/4∆U B.∆U′=1/2∆U

20.如图,竖直面内一绝缘细圆环的上、下半圆分别均匀分布着等量异种电荷。a、b为圆环水平直径上的两个点,c、d为竖直直径上的两个点,它们与圆心的距离均相等。则

2020新疆高考理综试题及答案

A.a、b两点的场强相等

B.a、b两点的电势相等

C.c、d两点的场强相等

D.c、d两点的电势相等

21.水平冰面上有一固定的竖直挡板,一滑冰运动员面对挡板静止在冰面上,他把一质量为4.0 kg的静止物块以大小为5.0 m/s的速度沿与挡板垂直的方向推向挡板,运动员获得退行速度;物块与挡板弹性碰撞,速度反向,追上运动员时,运动员又把物块推向挡板,使其再一次以大小为5.0 m/s的速度与挡板弹性碰撞。总共经过8次这样推物块后,运动员退行速度的大小大于5.0 m/s,反弹的物块不能再追上运动员。不计冰面的摩擦力,该运动员的质量可能为

A.48 kg B.53 kg C.58 kg D.63 kg

三、非选择题:共174分,第22~32题为必考题,每个试题考生都必须作答。第33~38题为选考题,考生根据要求作答。

(一)必考题:共129分。

22.(5分)

一细绳跨过悬挂的定滑轮,两端分别系有小球A和B,如图所示。一实验小组用此装置测量小球B运动的加速度。

2020新疆高考理综试题及答案

令两小球静止,细绳拉紧,然后释放小球,测得小球B释放时的高度h0=0.590 m,下降一段距离后的高度h=0.100 m;由h0下降至h所用的时间T=0.730 s。由此求得小球B加速度的大小为a=_______m/s2(保留3位有效数字)。

从实验室提供的数据得知,小球A、B的质量分别为100.0 g和150.0 g,当地重力加速度大小为g=9.80 m/s2。根据牛顿第二定律计算可得小球B加速度的大小为a′=_______m/s2(保留3位有效数字)。

可以看出,a′与a有明显差异,除实验中的偶然误差外,写出一条可能产生这一结果的原因:______________________。

23.(10分)

某同学要研究一小灯泡L(3.6 V,0.30 A)的伏安特性。所用器材有:电流表A1(量程200 mA,内阻Rg1=10.0 Ω),电流表A2(量程500 mA,内阻Rg2=1.0 Ω)、定值电阻R0(阻值R0=10.0 Ω)、滑动变阻器R1(最大阻值10 Ω)、电源E(电动势4.5 V,内阻很小)、开关S和若干导线。该同学设计的电路如图(a)所示。

(1)根据图(a),在图(b)的实物图中画出连线。

2020新疆高考理综试题及答案

2020新疆高考理综试题及答案

图(a)

(2)若I1、I2分别为流过电流表A1和A2的电流,利用I1、I2、Rg1和R0写出:小灯泡两端的电压U=_______,流过小灯泡的电流I=_______。为保证小灯泡的安全,I1不能超过_______mA。

(3)实验时,调节滑动变阻器,使开关闭合后两电流表的示数为零。逐次改变滑动变阻器滑片位置并读取相应的I1和I2。所得实验数据在下表中给出。

2020新疆高考理综试题及答案

根据实验数据可算得,当I1=173 mA时,灯丝电阻R=_______Ω(保留1位小数)。

(4)如果用另一个电阻替代定值电阻R0,其他不变,为了能够测量完整的伏安特性曲线,所用电阻的阻值不能小于_______Ω(保留1位小数)。

24.(12分)

如图,在0≤x≤h,

2020新疆高考理综试题及答案

区域中存在方向垂直于纸面的匀强磁场,磁感应强度B的大小可调,方向不变。一质量为m,电荷量为q(q>0)的粒子以速度v0从磁场区域左侧沿x轴进入磁场,不计重力。

2020新疆高考理综试题及答案

(1)若粒子经磁场偏转后穿过y轴正半轴离开磁场,分析说明磁场的方向,并求在这种情况下磁感应强度的最小值Bm;

(2)如果磁感应强度大小为Bm/2,粒子将通过虚线所示边界上的一点离开磁场。求粒子在该点的运动方向与x轴正方向的夹角及该点到x轴的距离。

25.(20分)

如图,一竖直圆管质量为M,下端距水平地面的高度为H,顶端塞有一质量为m的小球。圆管由静止自由下落,与地面发生多次弹性碰撞,且每次碰撞时间均极短;在运动过程中,管始终保持竖直。已知M =4m,球和管之间的滑动摩擦力大小为4mg, g为重力加速度的大小,不计空气阻力。

(1)求管第一次与地面碰撞后的瞬间,管和球各自的加速度大小;

(2)管第一次落地弹起后,在上升过程中球没有从管中滑出,求管上升的最大高度;

(3)管第二次落地弹起的上升过程中,球仍没有从管中滑出,求圆管长度应满足的条件。

2020新疆高考理综试题及答案

26.(14分)

化学工业为疫情防控提供了强有力的物质支撑。氯的许多化合物既是重要化工原料,又是高效、广谱的灭菌消毒剂。回答下列问题:

(1)氯气是制备系列含氯化合物的主要原料,可采用如图(a)所示的装置来制取。装置中的离子膜只允许______离子通过,氯气的逸出口是_______(填标号)。

2020新疆高考理综试题及答案

(2)次氯酸为一元弱酸,具有漂白和杀菌作用,其电离平衡体系中各成分的组成分数δ[δ(X)=

2020新疆高考理综试题及答案

,X为HClO或ClO−]与pH的关系如图(b)所示。HClO的电离常数Ka值为______。

(3)Cl2O为淡棕黄色气体,是次氯酸的酸酐,可由新制的HgO和Cl2反应来制备,该反应为歧化反应(氧化剂和还原剂为同一种物质的反应)。上述制备Cl2O的化学方程式为______。

(4)ClO2常温下为黄色气体,易溶于水,其水溶液是一种广谱杀菌剂。一种有效成分为NaClO2、NaHSO4、NaHCO3的“二氧化氯泡腾片”,能快速溶于水,溢出大量气泡,得到ClO2溶液。上述过程中,生成ClO2的反应属于歧化反应,每生成1 mol ClO2消耗NaClO2的量为_____mol;产生“气泡”的化学方程式为____________。

(5)“84消毒液”的有效成分为NaClO,不可与酸性清洁剂混用的原因是______(用离子方程式表示)。工业上是将氯气通入到30%的NaOH溶液中来制备NaClO溶液,若NaClO溶液中NaOH的质量分数为1%,则生产1000 kg该溶液需消耗氯气的质量为____kg(保留整数)。

27.(15分)

苯甲酸可用作食品防腐剂。实验室可通过甲苯氧化制苯甲酸,其反应原理简示如下:

2020新疆高考理综试题及答案

实验步骤:

(1)在装有温度计、冷凝管和搅拌器的三颈烧瓶中加入1.5 mL甲苯、100 mL水和4.8 g(约0.03 mol)高锰酸钾,慢慢开启搅拌器,并加热回流至回流液不再出现油珠。

(2)停止加热,继续搅拌,冷却片刻后,从冷凝管上口慢慢加入适量饱和亚硫酸氢钠溶液,并将反应混合物趁热过滤,用少量热水洗涤滤渣。合并滤液和洗涤液,于冰水浴中冷却,然后用浓盐酸酸化至苯甲酸析出完全。将析出的苯甲酸过滤,用少量冷水洗涤,放在沸水浴上干燥。称量,粗产品为1.0 g。

(3)纯度测定:称取0. 122 g粗产品,配成乙醇溶液,于100 mL容量瓶中定容。每次移取25. 00 mL溶液,用0.01000 mol·L−1的KOH标准溶液滴定,三次滴定平均消耗21. 50 mL的KOH标准溶液。

回答下列问题:

(1)根据上述实验药品的用量,三颈烧瓶的最适宜规格为______(填标号)。

A.100 mL B.250 mL C.500 mL D.1000 mL

(2)在反应装置中应选用______冷凝管(填“直形”或“球形”),当回流液不再出现油珠即可判断反应已完成,其判断理由是______。

(3)加入适量饱和亚硫酸氢钠溶液的目的是___________;该步骤亦可用草酸在酸性条件下处理,请用反应的离子方程式表达其原理__________。

(4)“用少量热水洗涤滤渣”一步中滤渣的主要成分是_______。

(5)干燥苯甲酸晶体时,若温度过高,可能出现的结果是_______。

(6)本实验制备的苯甲酸的纯度为_______;据此估算本实验中苯甲酸的产率最接近于_______(填标号)。

A.70% B.60%

C.50% D.40%

(7)若要得到纯度更高的苯甲酸,可通过在水中__________的方法提纯。

28.(14分)

天然气的主要成分为CH4,一般还含有C2H6等烃类,是重要的燃料和化工原料。

(1)乙烷在一定条件可发生如下反应:C2H6(g)= C2H4(g)+H2(g) ΔH,相关物质的燃烧热数据如下表所示:

2020新疆高考理综试题及答案

①设反应开始时的反应速率为r1,甲烷的转化率为α时的反应速率为r2,则r2=_____ r1。

②对于处于初期阶段的该反应,下列说法正确的是_________。

A.增加甲烷浓度,r增大 B.增加H2浓度,r增大

C.乙烷的生成速率逐渐增大 D.降低反应温度,k减小

(3)CH4和CO2都是比较稳定的分子,科学家利用电化学装置实现两种分子的耦合转化,其原理如下图所示:

2020新疆高考理综试题及答案

①阴极上的反应式为_________。

②若生成的乙烯和乙烷的体积比为2∶1,则消耗的CH4和CO2体积比为_________。

29.(10分)

大豆蛋白在人体内经消化道中酶的作用后,可形成小肽(短的肽链)。回答下列问题:

(1)在大豆细胞中,以mRNA为模板合成蛋白质时,除mRNA外还需要其他种类的核酸分子参与,它们是______________、______________。

(2)大豆细胞中大多数mRNA和RNA聚合酶从合成部位到执行功能部位需要经过 核孔 。就细胞核和细胞质这两个部位来说,作为mRNA合成部位的是____________,作为mRNA执行功能部位的是______________;作为RNA聚合酶合成部位的是______________,作为RNA聚合酶执行功能部位的是______________。

(3)部分氨基酸的密码子如表所示。若来自大豆的某小肽对应的编码序列为UACGAACAUUGG,则该小肽的氨基酸序列是______________。若该小肽对应的DNA序列有3处碱基发生了替换,但小肽的氨基酸序列不变,则此时编码小肽的RNA序列为______________。

2020新疆高考理综试题及答案

30.(9分)

为了研究细胞器的功能,某同学将正常叶片置于适量的溶液B中,用组织捣碎机破碎细胞,再用差速离心法分离细胞器。回答下列问题:

(1)该实验所用溶液B应满足的条件是_____________(答出2点即可)。

(2)离心沉淀出细胞核后,上清液在适宜条件下能将葡萄糖彻底分解,原因是此上清液中含有_____________。

(3)将分离得到的叶绿体悬浮在适宜溶液中,照光后有氧气释放;如果在该适宜溶液中将叶绿体外表的双层膜破裂后再照光,_____________(填“有”或“没有”)氧气释放,原因是_____________。

31.(9分)

人在剧烈奔跑运动时机体会出现一些生理变化。回答下列问题:

(1)剧烈奔跑运动时肌细胞会出现____________,这一呼吸方式会导致肌肉有酸痛感。

(2)当进行较长时间剧烈运动时,人体还会出现其他一些生理变化。例如,与运动前相比,胰岛A细胞的分泌活动会加强,分泌____________,该激素具有___________(答出2点即可)等生理功能,从而使血糖水平升高。

(3)人在进行剧烈运动时会大量出汗,因此在大量出汗后,为维持 内环境 的相对稳定,可以在饮水的同时适当补充一些_____________。

32.(11分)

控制某种植物叶形、叶色和能否抗霜霉病3个性状的基因分别用A/a、B/b、D/d表示,且位于3对同源染色体上。现有表现型不同的4种植株:板叶紫叶抗病(甲)、板叶绿叶抗病(乙)、花叶绿叶感病(丙)和花叶紫叶感病(丁)。甲和丙杂交,子代表现型均与甲相同;乙和丁杂交,子代出现个体数相近的8种不同表现型。回答下列问题:

(1)根据甲和丙的杂交结果,可知这3对相对性状的显性性状分别是_______________。

(2)根据甲和丙、乙和丁的杂交结果,可以推断甲、乙、丙和丁植株的基因型分别为_______________、_________________、_________________和_______________。

(3)若丙和丁杂交,则子代的表现型为_________________。

(4)选择某一未知基因型的植株X与乙进行杂交,统计子代个体性状。若发现叶形的分离比为3∶1、叶色的分离比为1∶1、能否抗病性状的分离比为1∶1,则植株X的基因型为_________________。

(二)选考题:共45分。请考生从2道物理题、2道化学题、2道生物题中每科任选一题作答。如果多做,则每科按所做的第一题计分。

33.[物理——选修3–3](15分)

(1)(5分)下列关于能量转换过程的叙述,违背热力学第一定律的有_______,不违背热力学第一定律、但违背热力学第二定律的有_______。(填正确答案标号)

A.汽车通过燃烧汽油获得动力并向空气中散热

B.冷水倒入保温杯后,冷水和杯子的温度都变得更低

C.某新型热机工作时将从高温热源吸收的热量全部转化为功,而不产生其他影响

D.冰箱的制冷机工作时从箱内低温环境中提取热量散发到温度较高的室内

(2)(10分)潜水钟是一种水下救生设备,它是一个底部开口、上部封闭的容器,外形与钟相似。潜水钟在水下时其内部上方空间里存有空气,以满足潜水员水下避险的需要。为计算方便,将潜水钟简化为截面积为S、高度为h、开口向下的圆筒;工作母船将潜水钟由水面上方开口向下吊放至深度为H的水下,如图所示。已知水的密度为ρ,重力加速度大小为g,大气压强为p0,H

2020新疆高考理综试题及答案

h,忽略温度的变化和水密度随深度的变化。

(i)求进入圆筒内水的高度l;

(ⅱ)保持H不变,压入空气使筒内的水全部排出,求压入的空气在其压强为p0时的体积。

2020新疆高考理综试题及答案

34.[物理——选修3–4](15分)

(1)(5分)用一个摆长为80.0 cm的单摆做实验,要求摆动的最大角度小于5°,则开始时将摆球拉离平衡位置的距离应不超过_______cm(保留1位小数)。(提示:单摆被拉开小角度的情况下,所求的距离约等于摆球沿圆弧移动的路程。)

某同学想设计一个新单摆,要求新单摆摆动10个周期的时间与原单摆摆动11个周期的时间相等。新单摆的摆长应该取为_______cm。

(2)(10分)直角棱镜的折射率n=1.5,其横截面如图所示,图中∠C=90°,∠A=30°。截面内一细束与BC边平行的光线,从棱镜AB边上的D点射入,经折射后射到BC边上。

2020新疆高考理综试题及答案

(i)光线在BC边上是否会发生全反射?说明理由;

(ⅱ)不考虑多次反射,求从AC边射出的光线与最初的入射光线夹角的正弦值。

35.[化学——选修3:物质结构与性质](15分)

钙钛矿(CaTiO3)型化合物是一类可用于生产太阳能电池、传感器、固体电阻器等的功能材料,回答下列问题:

(1)基态Ti原子的核外电子排布式为____________。

(2)Ti的四卤化物熔点如下表所示,TiF4熔点高于其他三种卤化物,自TiCl4至TiI4熔点依次升高,原因是____________。

2020新疆高考理综试题及答案

2020新疆高考理综试题及答案

(5)用上述金属卤化物光电材料制作的太阳能电池在使用过程中会产生单质铅和碘,降低了器件效率和使用寿命。我国科学家巧妙地在此材料中引入稀土铕(Eu)盐,提升了太阳能电池的效率和使用寿命,其作用原理如图(c)所示,用离子方程式表示该原理_______、_______。

36.[化学——选修5:有机化学基础](15分)

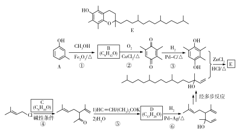
维生素E是一种人体必需的脂溶性维生素,现已广泛应用于医药、营养品、化妆品等。天然的维生素E由多种生育酚组成,其中α-生育酚(化合物E)含量最高,生理活性也最高。下面是化合物E的一种合成路线,其中部分反应略去。

2020新疆高考理综试题及答案

已知以下信息:

2020新疆高考理综试题及答案

回答下列问题:

(1)A的化学名称为_____________。

(2)B的结构简式为______________。

(3)反应物C含有三个甲基,其结构简式为______________。

(4)反应⑤的反应类型为______________。

(5)反应⑥的化学方程式为______________。

(6)化合物C的同分异构体中能同时满足以下三个条件的有_________个(不考虑立体异构体,填标号)。

(ⅰ)含有两个甲基;(ⅱ)含有酮羰基(但不含C=C=O);(ⅲ)不含有环状结构。

(a)4 (b)6 (c)8 (d)10

其中,含有手性碳(注:连有四个不同的原子或基团的碳)的化合物的结构简式为______________________。

37.[生物——选修1:生物技术实践](15分)

研究人员从海底微生物中分离到一种在低温下有催化活性的α-淀粉酶A3,并对其进行了研究。回答下列问题:

(1)在以淀粉为底物测定A3酶活性时,既可检测淀粉的减少,检测应采用的试剂是_________,也可采用斐林试剂检测_________的增加。

(2)在A3的分离过程中可采用聚丙烯酰胺凝胶电泳检测其纯度,通常会在凝胶中添加SDS,SDS的作用是___________________和___________________。

(3)本实验中,研究人员在确定A3的最适pH时使用了三种组分不同的缓冲系统,结果如图所示。某同学据图判断,缓冲系统的组分对酶活性有影响,其判断依据是______________。

2020新疆高考理综试题及答案

(4)在制备A3的固定化酶时,一般不宜采用包埋法,原因是___________________________ (答出1点即可)。

38.[生物——选修3:现代生物科技专题](15分)

植树造林、“无废弃物农业”、污水净化是建设美丽中国的重要措施。回答下列有关生态工程的问题:

(1)在植树造林时,一般认为,全部种植一种植物的做法是不可取的。因为与混合种植方式所构建的生态系统相比,按照种植一种植物方式所构建的生态系统,其抵抗力稳定性___________。抵抗力稳定性的含义是___________。

(2)“无废弃物农业”是我国利用生态工程的原理进行农业生产的一种模式,其做法是收集有机物质。包括人畜粪便、枯枝落叶等,采用堆肥和沤肥等多种方式,把它们转变为有机肥料,再施用到农田中。施用有机肥料的优点是________________(答出3点即可)。在有机肥料的形成过程中,微生物起到了重要作用,这些微生物属于生态系统组分中的________。

(3)在污水净化过程中,除发挥污水处理厂的作用外,若要利用生物来回收污水中的铜、镉等金属元素,请提供一个方案:_______________。

以上来源:学科网,仅供参考。

以上就是东南教育网整理的2020新疆高考理综试题及答案相关内容,想要了解更多信息,敬请查阅东南教育网。

责任编辑:
本文标题:2020新疆高考理综试题及答案
wap地址: https://m.dngk.com/newsdetail/63654.html

与“2020新疆高考理综试题及答案”相关推荐