当前位置:首页 > 高考试题 > 数学

2020吉林高考理科数学试题及答案解析

今天,东南教育网小编为大家带来了2020吉林高考理科数学试题及答案解析,希望能帮助到大家,一起来看看吧!

2020全国2卷高考理科数学答案解析

选择题

1.A 2.D 3.B 4.C 5.B 6.C 7.A 8.B 9.D 10.C 11.A 12.C

填空题

13.√2/2

14.36

15.2√3

16.①③④

简答题

17.

18.

2020吉林高考理科数学试题及答案解析

19.

2020吉林高考理科数学试题及答案解析

20.

2020吉林高考理科数学试题及答案解析

21.

2020吉林高考理科数学试题及答案解析

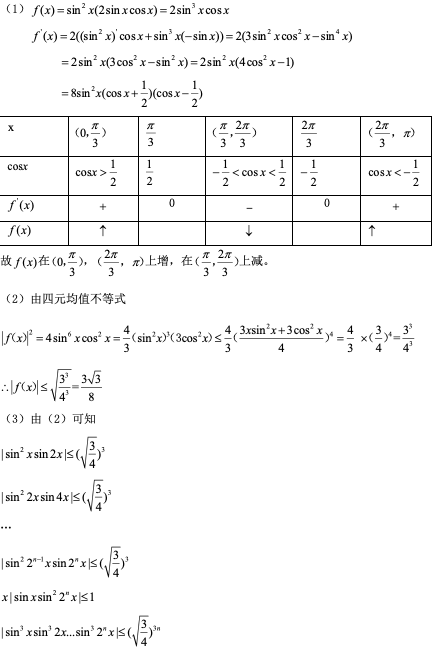
22.

2020吉林高考理科数学试题及答案解析

2020吉林高考理科数学试题及答案解析

以上试题答案来源于百度文库。

2020高考理科数学试题

2020吉林高考理科数学试题及答案解析

2020吉林高考理科数学试题及答案解析

2020吉林高考理科数学试题及答案解析

2020吉林高考理科数学试题及答案解析

以上试题

来源:辰轩学府,仅供参考。

以上就是东南教育网整理的2020吉林高考理科数学试题及答案解析相关内容,想要了解更多信息,敬请查阅东南教育网。

责任编辑:
本文标题:2020吉林高考理科数学试题及答案解析
wap地址: https://m.dngk.com/newsdetail/67834.html

与“2020吉林高考理科数学试题及答案解析”相关推荐