当前位置:首页 > 高考试题 > 数学

2020年青海高考文科数学试题及答案解析

今天,东南教育网小编为大家带来了2020年青海高考文科数学试题及答案解析,希望能帮助到大家,一起来看看吧!

2020年青海高考文科数学试题及答案解析

选择题

1.D 2.A 3.C 4.B 5.D 6.B 7.C 8.B 9.B 10.A 11.C 12.A

填空题

13.1/9

14.25

15.8

16.①③④

简答题

17.

18.

2020年青海高考文科数学试题及答案解析

19.

2020年青海高考文科数学试题及答案解析

20.

2020年青海高考文科数学试题及答案解析

21.

2020年青海高考文科数学试题及答案解析

22.

2020年青海高考文科数学试题及答案解析

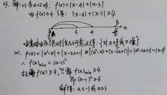
23.

2020年青海高考文科数学试题及答案解析

全国高考2卷文科试题

2020年青海高考文科数学试题及答案解析

2020年青海高考文科数学试题及答案解析

2020年青海高考文科数学试题及答案解析

2020年青海高考文科数学试题及答案解析

2020年青海高考文科数学试题及答案解析

2020年青海高考文科数学试题及答案解析

2020年青海高考文科数学试题及答案解析

以上答案解析来源:百度文库。

以上就是东南教育网整理的2020年青海高考文科数学试题及答案解析相关内容,想要了解更多信息,敬请查阅东南教育网。

责任编辑:
本文标题:2020年青海高考文科数学试题及答案解析
wap地址: https://m.dngk.com/newsdetail/68010.html

与“2020年青海高考文科数学试题及答案解析”相关推荐