当前位置:首页 > 高考试题 > 数学

2020年福建高考理科数学试题及答案解析

今天,东南教育网小编为大家带来了2020年福建高考理科数学试题及答案解析,希望能帮助到大家,一起来看看吧!

2020全国1卷高考理科数学试题及答案解析【word精校版】

2020年福建高考理科数学试题及答案解析

2020年福建高考理科数学试题及答案解析

2020年福建高考理科数学试题及答案解析

2020全国1卷高考理科数学答案解析

选择题

1.D 2.B 3.C 4.C 5.D 6.B 7.C 8.C 9.A 10.A 11.D 12.B

填空题

13.1

14.√3

15.2

16.- 1/4

简答题

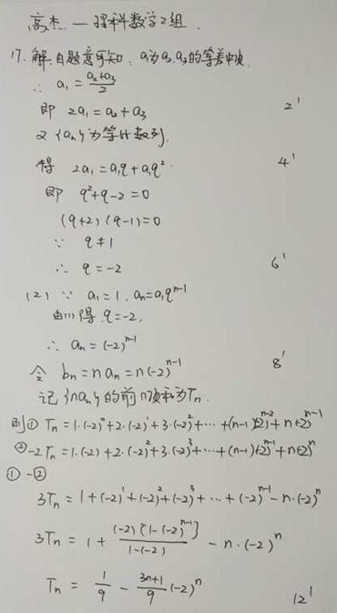
17.

2020年福建高考理科数学试题及答案解析

18.

2020年福建高考理科数学试题及答案解析

19.

2020年福建高考理科数学试题及答案解析

20.

2020年福建高考理科数学试题及答案解析

21.

2020年福建高考理科数学试题及答案解析

22.

2020年福建高考理科数学试题及答案解析

23.

2020年福建高考理科数学试题及答案解析

以上答案解析来源:百度文库,仅供参考。

以上就是东南教育网整理的2020年福建高考理科数学试题及答案解析相关内容,想要了解更多信息,敬请查阅东南教育网。

责任编辑:
本文标题:2020年福建高考理科数学试题及答案解析
wap地址: https://m.dngk.com/newsdetail/68018.html

与“2020年福建高考理科数学试题及答案解析”相关推荐