当前位置:首页 > 高考试题 > 数学

2020年江西高考理科数学试题及答案解析【word精校版】

今天,东南教育网小编为大家带来了2020年江西高考理科数学试题及答案解析【word精校版】,希望能帮助到大家,一起来看看吧!

2020全国1卷高考理科数学试题及答案解析【word精校版】

2020年江西高考理科数学试题及答案解析【word精校版】

2020年江西高考理科数学试题及答案解析【word精校版】

2020年江西高考理科数学试题及答案解析【word精校版】

2020全国1卷高考理科数学答案解析

选择题

1.D 2.B 3.C 4.C 5.D 6.B 7.C 8.C 9.A 10.A 11.D 12.B

填空题

13.1

14.√3

15.2

16.- 1/4

简答题

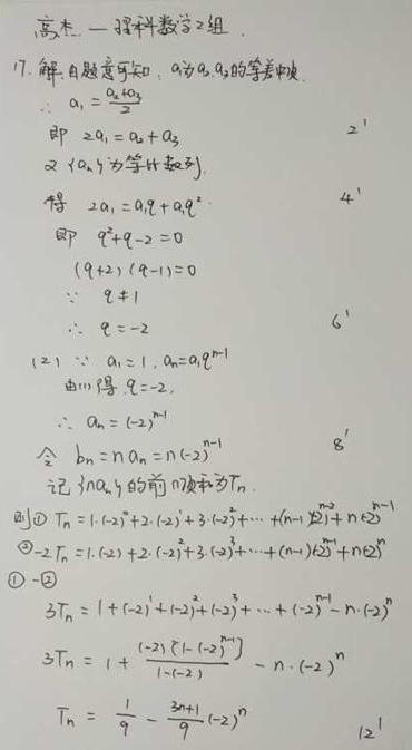
17.

2020年江西高考理科数学试题及答案解析【word精校版】

18.

2020年江西高考理科数学试题及答案解析【word精校版】

19.

2020年江西高考理科数学试题及答案解析【word精校版】

20.

2020年江西高考理科数学试题及答案解析【word精校版】

21.

2020年江西高考理科数学试题及答案解析【word精校版】

22.

2020年江西高考理科数学试题及答案解析【word精校版】

23.

2020年江西高考理科数学试题及答案解析【word精校版】

以上答案解析来源:百度文库,仅供参考。

以上就是东南教育网整理的2020年江西高考理科数学试题及答案解析【word精校版】相关内容,想要了解更多信息,敬请查阅东南教育网。

责任编辑:
本文标题:2020年江西高考理科数学试题及答案解析【word精校版】
wap地址: https://m.dngk.com/newsdetail/68021.html

与“2020年江西高考理科数学试题及答案解析【word精校版】”相关推荐