当前位置:首页 > 高考试题 > 数学

2020云南高考理科数学试题及答案解析【word精校版】

今天,东南教育网小编为大家带来了2020云南高考理科数学试题及答案解析【word精校版】,希望能帮助到大家,一起来看看吧!

2020云南高考理科数学试题及答案解析【word精校版】

选择题

1.C 2.D 3.B 4.C 5.B 6.D 7.A 8.C 9.D 10.D 11.A 12.A

填空题

13.7

14、240

15、(√2/3)π

16、②③

简答题

17.

18.

2020云南高考理科数学试题及答案解析【word精校版】

19.

2020云南高考理科数学试题及答案解析【word精校版】

2020云南高考理科数学试题及答案解析【word精校版】

20.

2020云南高考理科数学试题及答案解析【word精校版】

21.

2020云南高考理科数学试题及答案解析【word精校版】

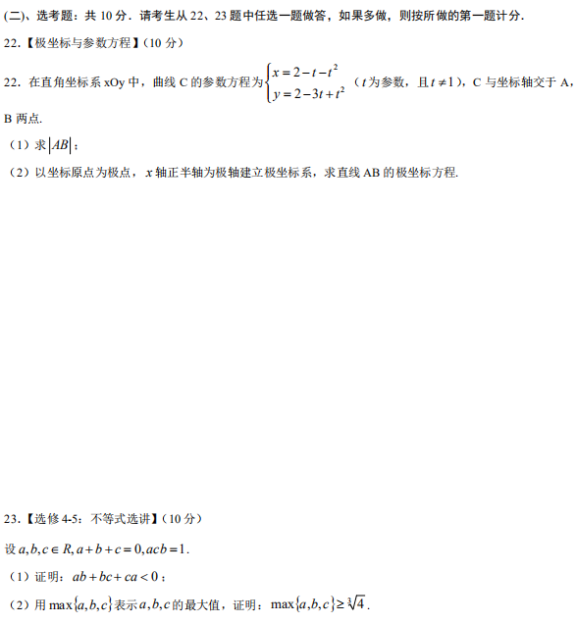
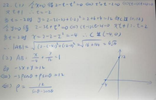
22.

2020云南高考理科数学试题及答案解析【word精校版】

23.

2020云南高考理科数学试题及答案解析【word精校版】

2020高考理科数学试题

2020云南高考理科数学试题及答案解析【word精校版】

2020云南高考理科数学试题及答案解析【word精校版】

2020云南高考理科数学试题及答案解析【word精校版】

2020云南高考理科数学试题及答案解析【word精校版】

2020云南高考理科数学试题及答案解析【word精校版】

2020云南高考理科数学试题及答案解析【word精校版】


以上答案解析来源:百度文库

以上就是东南教育网整理的2020云南高考理科数学试题及答案解析【word精校版】相关内容,想要了解更多信息,敬请查阅东南教育网。

责任编辑:
本文标题:2020云南高考理科数学试题及答案解析【word精校版】
wap地址: https://m.dngk.com/newsdetail/69829.html

与“2020云南高考理科数学试题及答案解析【word精校版】”相关推荐