今天,东南教育网小编为大家带来了2021年高考各科评分细则公布,九科全!,希望能帮助到大家,一起来看看吧!

2021年高考各科评分细则公布,速看!
以便考生尽早规范答题,高考取得好成绩!要知道只有了解高考卷子的答题规则才能有效精准复习,答出高分。
东南教育网小编推荐:
2021年高考大纲参考2019普通高等学校招生全国统一考试大纲-总纲
2019年高考语文考试大纲公布(2021年高考语文大纲参考)
2019年高考英语考试大纲公布(2021年高考英语大纲参考)
语 文
高考全国卷作文评分规则
一、基础等级
基础等级分内容和表达两项,基础等级的评分,以题意、内容、语言、文体为重点,全面衡量。
(一)内容项(20分)——题意、内容
其重点是题意、内容。对于内容要综合考虑,对于材料的把握虽然符合题意,但文章不好、中心基本明确、内容单薄、感情基本真实的,可以在三等上打分。
考生的考卷中所述论据的真实性要特别注意,如果是编造,或者有明显错误,或者不能佐证文章观点的,要适当扣分。
(二)表达项(20分)——语言、文体和结构、卷面
其重点是作文的结构、语言、文体、卷面等,但也要综合考量。
1.根据表达项的细则,在“内容”评等的基础上,除了在相应的等级上评分外,还可以考虑在上一等或下一等打分。
2.在“内容”等级判分的基础上,表达项原则上不跨等给分,如内容判三等,表达不能在一等给分,只能在三等或二等或四等给分。
二、发展等级(20分)
基础等级分要与发展等级分相匹配,发展等级分不能跨越基础等级的得分等级。
1.发展等级分原则上随内容或表达的等次给分,如内容二等,表达三等,发展等级一般可在二等给分。
2.发展等级一般不在内容或表达的下一等给分,如内容一等,表达二等,发展等级一般在一等或二等给分。
3.发展等级在内容给分的基础上,一般不跨等给分,如内容三等,发展等级不能在一等给分。
4.内容在四等的,“发展等级”可以给1到2分;确为抄袭的,“发展等级”不给分。
发展等级评分。不求全面,可根据“特征”4项16点中若干突出点按等评分。
1.深刻:透过现象看本质揭示事物内在的因果关系观点具有启发作用
2.丰富:材料丰富论据充足形象丰满意境深远
3.有文采:用词贴切句式灵活善于运用修辞手法 文句有表现力
4.有创意:见解新颖 材料新鲜 构思精巧 推理想象有独到之处 有个性特征
附表:高考作文等级评分细则

数 学
一、数学阅卷流程

二、分题型展示
题型一、三角形解答题高考真题:

(一)评分标准展示——看细节


(二)一题多解鉴赏——扩思路



(三)阅卷老师提醒——明原因
三角函数题目属于高考题中的低中档题,但每年考生的得分情况都不理想,如公式记忆不清、解题方法不明、解题方法选择不当等问题屡屡出现,不能保证作答“会而对,对而全,全而美”.下面就以2017年高考数学全国卷Ⅰ理科第17题为例进行分析说明.
1.知识性错误

2.策略性错误

(四)新题好题演练——成习惯

题型二、数列解答题
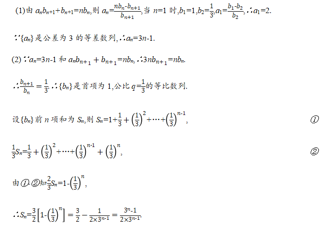
(2016全国,文17)(本小题满分12分)已知是公差为3的等差数列,数列满足b1=1,b2=,anbn+1+bn+1=nbn。
(1)求的通项公式;(2)求的前n项和。
(一)评分标准展示——看细节

(二)一题多解鉴赏——扩思路
解法二

(三)阅卷老师提醒——明原因

(四)新题好题演练——成习惯

题型三、概率与统计解答题
(2017全国2,文19)(本小题满分12分)海水养殖场进行某水产品的新、旧网箱养殖方法的产量对比,收获时各随机抽取了100个网箱,测量各箱水产品的产量(单位:kg),其频率分布直方图如下:
(1)记A表示事件“旧养殖法的箱产量低于50 kg”,估计A的概率;(2)填写下面列联表,并根据列联表判断是否有99%的把握认为箱产量与养殖方法有关;
箱产量
新养殖法
(3)根据箱产量的频率分布直方图,对这两种养殖方法的优劣进行比较。

(一)评分标准展示——看细节

(二)阅卷老师提醒——明原因
1.正确阅读理解,弄清题意:与概率统计有关的应用问题经常以实际生活为背景,且常考常新,而解决问题的关键是理解题意,弄清本质,将实际问题转化为数学问题求解。
2.对互斥事件要把握住不能同时发生,而对于对立事件除不能同时发生外,其并事件应为必然事件,这些也可类比集合进行理解,具体应用时,可把所有试验结果写出来,看所求事件包含哪几个试验结果,从而断定所给事件的关系。
3.用频率分布直方图解决相关问题时,应正确理解图表中各个量的意义,识图掌握信息是解决该类问题的关键。
4.某些数据的变动对中位数可能没有影响。中位数可能出现在所给数据中,也可能不在所给数据中。当一组数据中的个别数据变动较大时,可用中位数描述其集中趋势。平均数与方差都是重要的数字特征,是对总体的一种简明的描述,它们所反映的情况有着重要的实际意义,平均数、中位数、众数描述其集中趋势,方差和标准差描述其波动大小。
5.独立性检验的注意事项
(1)在列联表中注意事件的对应及相关值的确定,不可混淆。K2的观测值k的计算公式很复杂,在解题中易混淆一些数据的意义,代入公式时出错,而导致整个计算结果出错。
(2)对判断结果进行描述时,注意对象的选取要准确无误,应是对假设结论进行的含概率的判断,而非其他。
(三)新题好题演练——成习惯
(2018四川凉山诊断性检测)为了解男性家长和女性家长对高中学生成人礼仪式的接受程度,某中学团委以问卷形式调查了50位家长,得到如下统计表:
男性家长女性家长合计赞成121426无所谓18624合计302050 (1)据此样本,能否有99%的把握认为“接受程度”与家长性别有关?说明理由;(2)学校决定从男性家长中按分层抽样方法选出5人参加今年的高中学生成人礼仪式,并从中选2人交流发言,求发言人中至多一人持“赞成”态度的概率。 参考数据P(K2≥k)0.050.010k3.8416.635


探讨高考数学命题人如何编定概率统计的试题
题型四、立体几何解答题
(2017全国3,文19)(本小题满分12分)如图,四面体ABCD中,△ABC是正三角形,AD=CD。(1)证明:AC⊥BD;(2)已知△ACD是直角三角形,AB=BD。若E为棱BD上与D不重合的点,且AE⊥EC,求四面体ABCE与四面体ACDE的体积比。
(一)评分标准展示——看细节


(二)一题多解鉴赏——扩思路

(三)阅卷老师提醒——明原因
1.证明线面垂直时,不要忽视“面内两条直线为相交直线”这一条件,如第(1)问中,学生易忽视“DO∩BO=O”,导致条件不全而减分;
2.求四面体的体积时,要注意“等体积法”的应用,即合理转化四面体的顶点和底面,目的是底面积和顶点到底面的距离容易求得;
3.注意利用第(1)问的结果:在题设条件下,如果第(1)问的结果第(2)问能用得上,可以直接用,有些题目不用第(1)问的结果甚至无法解决,如本题中,由(1)及题设知∠ADC=90°。
4.要注意书写过程规范,计算结果正确。书写规范是计算正确的前提,在高考这一特定的环境下,学生更要保持规范书写,力争一次成功,但部分学生因平时习惯,解答过程中书写混乱,导致失误过多。
(四)新题好题演练——成习惯




题型五、解析几何解答题

(一)评分标准展示——看细节

(二)一题多解鉴赏——扩思路


(三)阅卷老师提醒——明原因

(四)新题好题演练——成习惯


题型六、函数与导数解答题
(2017全国2,文21)(本小题满分12分)设函数f(x)=(1-x2)ex。(1)讨论f(x)的单调性;(2)当x≥0时,f(x)≤ax+1,求a的取值范围。
(一)评分标准展示——看细节


(二)一题多解鉴赏——扩思路解法二 设g(x)=(x2-1)ex+ax+1,x≥0,则g(x)≥0恒成立.g'(x)=(x2+2x-1)ex+a.g″(x)=(x2+4x+1)·e2>0,g'(x)在区间[0,+∞)内单调递增.当a≥1时,g'(x)≥g'(0)=-1+a>0,此时g(x)在区间[0,+∞)内单调递增,g(x)≥g(x)=0,符合题意.当a0,故存在x0>0,使得g'(x0)=0,且当x∈(0,x0)时,g'(x)0,x∈[0,x0]时g'(x)>0,则x∈(0,x0),g(x)>0时,不符合题意).从而有g'(0)=1-a≤0,即a≥1.下面证明a=1时,g(x)=(1-x2)ex-x-1≤0(x≥0)恒成立.由于g'(x)=(-x2-2x+1)ex-1,g″(x)=(-x2-4x-1)ex
(三)阅卷老师提醒——明原因
1.利用导数研究函数或不等式问题时,正确求导是第一步,也是关键一步,而学生往往开始求导就出现错误,后面的运算全部变成了无用功;
2.分类讨论解决问题时,首先要明确分类的依据和标准;分类讨论思想是高中数学中的一种重要思想,也是学生的难点,关键要搞清“为什么要讨论?”“如何去讨论”,如本题中,需要讨论a与0,1的大小关系。
3.要注意书写过程规范,计算结果正确。书写规范是计算正确的前提,在高考这一特定的环境下,学生更要保持规范书写,力争一次成功,但部分学生因平时习惯,解答过程中书写混乱,导致失误过多。
(四)新题好题演练——成习惯
(2018河北保定一模)已知函数f(x)=x+.(1)判断函数f(x)的单调性;(2)设函数g(x)=ln x+1,证明:当x∈(0,+∞),且a>0时,f(x)>g(x).(1)解 因为f'(x)=1-(x≠0),若a≤0,f'(x)>0,∴f(x)在(-∞,0),(0,+∞)为增函数;若a>0,则f'(x)>0x2-a>0x,f'(x)

题型七、参数方程与极坐标解答题

(一)评分标准展示——看细节

(二)一题多解鉴赏——扩思路

(三)阅卷老师提醒——明原因
1.基本的定义、公式,方法要掌握牢固:本题第(1)问考查消参求轨迹方程的问题,属于基本问题,第二问求解点在极坐标系下的极径,属于基础概念的考查,但是要求对基本的概念和公式能够熟练理解和掌握。
2.注意利用第(1)问的结果:在题设条件下,如果第(1)问的结果第(2)问能用得上,可以直接用,有些题目不用第(1)问的结果甚至无法解决,如本题即是在第(1)问的基础上进行计算求解极径问题。
3.写全得分关键:写清解题过程的关键点,有则给分,无则没有分,同时解题过程中计算准确,是得分的根本保证。如本题第(1)问要写出直角坐标方程,注意所得的轨迹方程不包括y轴上的点。第(2)问中方程的思想很重要,联立极坐标方程求解极径、极角体现出方程思想的无处不在。
(四)新题好题演练——成习惯

题型八、不等式选讲解答题
(2017全国3,文23)(本小题满分10分)已知函数f(x)=|x+1|-|x-2|。
(1)求不等式f(x)≥1的解集;
(2)若不等式f(x)≥x2-x+m的解集非空,求m的取值范围。
(一)评分标准展示——看细节

(二)一题多解鉴赏——扩思路

(三)阅卷老师提醒——明原因
1.基本的定义、公式、方法要掌握牢固:本题第(1)问考查绝对值不等式的解法,属于基本问题,第(2)问求解参数的取值范围,要求同学们能够结合恒成立的条件进行灵活变形处理。
2.注意利用第(1)问的结果:在题设条件下,如果第(1)问的结果第(2)问能用得上,可以直接用,有些题目不用第(1)问的结果甚至无法解决,如本题即是将原问题转化为求解最值的问题来确定参数的取值范围。
3.写全得分关键:写清解题过程的关键点,有则给分,无则没有分,同时解题过程中计算准确,是得分的根本保证.如本题第(1)问要写出分段函数的形式,分段求解不等式的解集。第(2)问中转化的思想很重要,将原问题转化为求解最值的问题即可,转化的思想是高中数学的重要数学思想之一。
(四)新题好题演练——成习惯

三、阅卷基本建议
高考数学阅卷对知识点和步骤的把握,公正客观,本着给分有理扣分有据的原则,寻找得分点,否则写再多也是徒劳的。但是也并非完全无情,比如有少数考生答题错位,会被要求作为异常试卷提交,由专家组特殊处理,而不是直接判了零分等。为此,总结如下解题中需要把握的准则:
1.阅卷速度以秒计,规范答题少丢分
高考阅卷评分标准非常细,按步骤、得分点给分,评阅分步骤、采“点”给分。关键步骤,有则给分,无则没分。所以考场答题应尽量按得分点、步骤规范书写。阅卷中强调关注结果,过程可采用不同的方法阐述。
2.不求巧妙用通法,通性通法要强化
高考评分细则只对主要解题方法,也是最基本的方法,给出详细得分标准,所以用常规方法往往与参考答案一致,比较容易抓住得分点。阅卷中把握见点得分,踩点得分,上下不牵连的原则。
3.干净整洁保得分,简明扼要是关键
若书写整洁, 表达清楚,一定会得到合理或偏高的分数,若不规范可能就会吃亏。若写错需改正,只需划去,不要乱涂乱划,否则易丢分。
4.狠抓基础保成绩,分步解决克难题
(1)基础题争取得满分。涉及的定理、公式要准确,数学语言要规范,仔细计算,争取前3个解答题及选考不丢分。
(2)压轴题争取多得分。第(1)问一般难度不大,要保证得分,第(2)问若不会,也要根据条件或第(1)问的结论推出一些结论,可能就是得分点。
英 语
英语作文评分细则
一、评分细则
高考英语书面表达题(作文题)的考查要点及评分原则:准确运用语法、词汇、拼写、标点。使用某些句型、短语、清楚地表达自己的意思,写出流畅易懂的短文。评分主要从以下4个方面考虑:1.内容要点 (content points) 。2.运用词汇和语法结构的数量。3.词汇的准确运用与句子的结构把握 (accuracy of vocabulary and structures) 。4.上下文的连贯性(coherence)。附表:英语作文等级评分细则


注意第三条,词数超出范围也会扣分!同学们要严格遵守题目要求!
物 理
评分原则
1.等价给分:高考的评分标准中往往会给出一题的多种解答,以及每种解答中每一步骤的给分原则。只要公式是一级公式,也确实能推出正确答案的,就给满分。
2.只看对的,不看错的:高考阅卷时,对于必要的公式,高考的阅卷方式是,只要与本题有关的公式都写出来了,而且答案正确,那么就给满分。3.不重复扣分:指在同一道题目中,如果一个错误犯了两次,那么只按一次来扣分。这也是物理阅卷与数学不一样的地方,物理阅卷认为,错误只在第一问,第二问的过程没错,结果的错误也仅仅是第一问造成的。4.只看物理公式和答案,不看数学运算过程:在物理试卷中,能不出现数学运算就不要出现,因为只有公式和最后的答案是给分点。
化 学
化学用语的评分细则
一、化学用语规则化学Ⅱ卷40%左右的答案要用化学用语表述,而部分同学化学用语使用不过关,且没有引起足够的重视,而高考评分细则对化学用语的使用要求相当严格,如:(1)化学方程式、离子方程式,不写反应条件扣一半的分,不配平或产物、反应物的化学式有一处写错不得分,“
”和“===”错用不得分,“”或“”符号该标出之处漏标酌情扣分。(2)热化学方程式不注明各物质的聚集状态或焓变数值不注明、计算错误、不带单位、该注明“-”号而漏写均判为不得分。(3)将化学式写成名称、将有机物结构简式写成分子式、将离子方程式写成化学方程式均不得分。二、化学简答与计算评分细则部分同学不注意文字表达的简洁性和准确性,答题时书写废话,既浪费时间又容易造成扣分,在审题过程中对试题的背景理解不透彻,答案偏离试题要求,或者书写字体潦草出现错字、白字等,而对于计算该有过程而未体现解题过程,计算结果无单位或不注意有效数字的问题,高考评分都有明确规定。(1)简答题出现科学性错误,该空不得分;(2)出现错别字且错别字是关键字该空不得分;(3)简答不全面得一半分;(4)关于实验设计的简答缺少步骤、现象和结论中的一部分,要分步得分,只能得部分分;(5)化学计算的表达式错误或计算数据错误不给分,缺少单位扣一半分,不注意有效数字酌情减分。三、多答案选择题的给分原则Ⅱ卷的选择题可能有一个或多个选项符合题意,但答案中只要有一个错误选项则不给分,答案不完整的得相应分数。四、不规范答题的具体表现物质的名称、化学式、结构简式等书写不准确。如要求写“化学式”,却写成结构简式;要求写“含邻二取代苯环结构”的同分异构体简式,却写成了间位或对位。基本有机物的结构式(结构简式)书写不规范。如乙烯的结构简式写成C2H4或CH2CH2。有机化学方程式书写不完整不规范,有的漏写小分子,如酯化反应方程式漏写水分子;结构简式多碳少碳、多氢少氢;化学式多上标下标等。专业用语不合要求,不清楚或出现错别字。如“消去反应”写成“消除反应”或只写“消去”;“酯化反应”写成“脂化反应”;“取代反应”写成“替代反应”。题干明确要求“用化学方程式表示出一种重要用途”,却依然用“制塑料”、“制聚乙烯”、“制乙醇”等文字表述。表示化学反应速率时,必须明确用何种物质表示该反应速率;计算反应速率时,若容器的容积不是1升,不要误当成1升。对于高考Ⅱ卷中的选择、填空题,做题应慎之又慎,逐项分析,严防多选。
生 物
生物大题评分细则






理 综
评分原则
理综答题要注意细节。如下图:


历 史
评分细则
真题回顾1(2016全国卷I T40)阅读材料,完成下列要求。(25分)材料一:清朝康、雍、乾长达一个多世纪中,社会总体稳定,清政府取消了人头税,根据耕地面积确定税额,减轻了下层百姓负担。农业上普遍采用了轮作、复种、多熟等农作制。玉米、甘薯等耐寒、耐旱、高产作物不断推广,人们将林木覆盖的山地和草原广为开垦,人口从清初的1.8亿增加到鸦片战争前夕的4亿之众,引起了一系列变化:一些地区“游手好闲者更数十倍于前”“田地责少,寸土为金”,水土流失和草原沙化现象凸显;农业人均收益递减,各地民变此起彼伏。——摘编自李龙潜《明清经济史》
材料二:为解决人口压力,康有为认为,“西北诸省土旷人稀,东三省、蒙古、新疆疏旷益甚,人迹既少……早谋移徙”。严复则认为兴办现代实业较垦荒辟田有效得多。到民国时期,有人认为,“人口增加是无止息的,食料的增加是越来越困难的,即使我们能开垦荒地、改良农业、增加生长,总是赶不上人口增加的快”;至于工业化一途,因需要大量投资,短期内难以搞成。因此很多人认为,解决人口问题的“治本方法”是“迟婚与节育”。——据《康有为全集》等评分细则(1)根据材料一并结合所学知识,说明清中期人口膨胀的原因及其影响。(12分)评分标准:共12分,原因、影响各6分。原因:分5点,答出任意有三点即可,可以针对性抄原材料。统一与稳定(或社会总体稳定,或国家统一)。耕地面积增加(或土地开垦,或抄材料:人们将林木覆盖的山地和草原广为开垦)。精耕细作(农业生产技术进步;耕作制度进步;或抄材料:普遍采用了轮作、复种、多熟等农作制)。高产作物的推广(抄材料:玉米、甘薯等耐寒、耐旱、高产作物不断推广)。税收制度的变革(抄材料:政府取消了人头税)。影响:只答负面影响,答积极影响的不给分;抄材料给分,分3点。人地关系紧张(抄材料:“游手好闲者更数十倍于前”“田地责少,寸土为金”);土地过度开发,环境破坏(抄材料:水土流失和草原沙化现象凸显);贫困化,社会矛盾加剧(抄材料:农业人均收益递减,各地民变此起彼伏)。或者答:资料紧张;环境破坏;水土流失和草原荒漠化;社会不稳定。
(2)根据材料二并结合所学知识,概括近代学者缓解人口压力的主张,并加以简要评价。(13分)评分标准:主张7分(一点2分,两点4分,三点7分)。向人口密度低的地区移民(抄材料:西北诸省土旷人稀,东三省、蒙古、新疆疏旷益甚,人迹既少……早谋移徙);发展实业吸收劳动力(发展实业;发展经济;或抄材料:兴办现代实业较垦荒辟田有效得多);增加耕地,改良农业生产(开垦荒地);节制生育(计划生育;晚婚晚育;或抄材料:迟婚与节育)。评价:标准是可以总体评价,也可以就主张分别评价。总体评价分积极、消极各3分;分别评价每个人积极、消极各1分,分0、1、2、3、4、5、6分七档。总体评价:多角度提出缓解人口压力的方法,为后世提供了借鉴;有一定的历史局限性。分别评价:康有为的主张是缓解人口压力的传统方法,但向生态环境脆弱地区大量移民不可行;严复的主张符合时代发展方向,但当时条件尚不具备;节制生育有可取之处,但未认识到人口因素的积极面。
真题回顾2(2016 全国卷I T45)【历史——选修1:历史上重大改革回眸】(15分)材料:南北朝时,士族族谱是选任官员的重要依据。唐朝初年,旧士族虽已没落,但清河崔氏、范阳卢氏等数家所谓“山东士族”,仍凭借其祖先的影响,享有崇高的社会地位。这些家族编写族谱,标榜为华夏“高门”,自诩“家风”优良,相互间通婚。唐初那些以军功起家的大臣,也把能与他们通婚视作荣耀。
唐太宗决心从谱牒入手,改变这种状况。他下令修撰全国总谱《氏族志》,不限地域,不分民族渊源,收集当时全国各地具有影响的293个家族,排出等级,但不作为任用官员的依据。编写者受习惯影响,将当时只任六品官的清河人崔民干列为第一等。这让唐太宗颇不高兴,下令:“不须论数世以前,止取今日官爵高下作等级。”于是皇族被列为第一,外戚次之,清河崔氏只排到第三等。当时文武大臣中,不少人的祖先在北朝后期才从草原南迁,也因此跻身“高门”之列。——摘编自唐长孺《魏晋南北朝隋唐史三论》
评分细则
(1)根据材料并结合所学知识,概括唐太宗时谱牒改革的内容。(9分)评分标准:第1问:每点3分,任意3点共9分。朝廷主持修撰全国总谱(全国统一制定总谱或谱牒或抄材料:唐太宗决心从谱牒入手,改变这种状况。他下令修撰全国总谱《氏族志》);扩大入选范围(抄材料:不限地域;不分民族渊源);否定谱牒在选任官员中的作用(抄材料:不作为任用官员的依据);建立新的门第标准(抄材料:唐太宗下令:“不须论数世以前,止取今日官爵高下作等级。”)。
(2)根据材料并结合所学知识,简析唐太宗时谱牒改革的作用。(6分)评分标准:共5点。每点2分,任意3点6分。加强皇室地位(皇权专制或君主专制);肯定现有政治秩序,有利于维持政权稳定(有利于维护封建统治或扩大统治基础);抑制旧士族的影响(打破了世家大族的垄断地位);有利于维护统一(加强中央集权);巩固民族交融的成果(有利于民族融合)。真题回顾3(2016 全国卷I T46)【历史——选修2:近代社会的民主思想与实践】(15分)材料:1721年,英国议会首次对行政高管进行质询。1783年,下院议长宣布,任何议员都有权向大臣或官员提出问题,被质询者可以答复,也可以拒绝答复。1835年,质询首次出现在英国议会下院的议事程序单上,并公布于众,被质询者必须在规定时间内做出答复。从此,质询成为英国议会对内阁进行监督和问责的一项固定制度。进入20世纪后,质询时间固定为一到星期四每天下午1个小时,对于普通质询,被咨询人可在7天内答复,对于紧急质询,被咨询人必须3天内答复。70年代后,下议院设立了与政府工作相对应的多个专门委员会,各委员会可以分别就政府的内政和外交问题向有关政府官员提出质询,发现政府工作中的问题,督促有关部门加以改善。——摘编自埃佛尔·詹宁斯《英国议会》等评分细则(1)根据材料并结合所学知识,概括英国议会质询制度的发展变化,并指出这一制度的实质。(9分)评分标准:共9分,发展变化6分,实质3分。发展变化须答出变化的表现,否则不给分。3点6分。质询时间由不固定到固定(时间逐渐固定);由可拒绝回答到有问必答;专业化、制度化成都逐步提高(质询成为固定制度或抄材料:质询成为英国议会对内阁进行监督和问责的一项固定制度)。实质:立法机构监督、问责行政机构的民主制度(资产阶级代议制、民主制度、议会制度、君主立宪制的完善)。
(2)根据材料并结合所学知识,说明英国议会质询制度的积极作用。(6分)评分标准:每点2分,共6分。提高政府工作的透明度(答集公开性;主要强调民众的作用);推动政府改善工作(抄材料:发现政府工作中的问题,督促有关部门加以改善;答发现政府问题,体现制衡不给分);进一步完善民主制度(防止权力的滥用、腐败)。如答:资本主义代议制、民主制度、议会制度、君主立宪制的完善可给分;答削弱国王的有权力、提高行政效率,资本主义制度的完善不给分。真题回顾4(2016 全国卷I T47)【历史——选修3:20世纪的战争与和平】(15分)材料:1965年,美国在越南的军事行动升级后,中国政府在加强对越南的军事援助的同时,向美国政府传递了一系列警示性信息,要求美国不得将战争无限制升级。美国决策者对此颇为重视,加强相互间的“信息传递”,努力理解中方的信息,并将中方的可能反应作为制定战略决策时必须考虑的最重要因素之一。在同中国政府打交道的过程中,美国表现出某种谨慎与克制,朝鲜战争式的中美直接军冲突没有重演。 1969年上台的尼克松政府,面对美国在越南问题上的困境,以及从亚洲收缩力量的需要,对美国的对外政策做出了重大调整,试图使之适合美国力量的限度和新的国内国际条件。1973年,美国与北越在巴黎签订了协定,越南战争基本结束。——摘编自陈兼、赫斯伯格《越战初期中美之间特殊的“信息传递”》等评分细则(1)根 据材料并结合所学知识,简 析美国与中国在越南战争中没有发生直接军事冲 突的原因。(8分)评分标准:共 4点,每点 2分,满分 8分。抄材 料也给分,但要分点摘抄。冷战时期,美国的战略中心在 欧洲(美苏 争霸或中苏关系恶化,美国想拉拢中国或 改善同中国的关系 );吸取朝鲜战争的教训 (抄材料:朝鲜 战争式的中美直接军事冲突没有重演);中国政府有效的警示信息 (抄材料:中国政府向美国政府传递了一系列警示性信息 或美国将中方的可 能反应作为制定战略决策时必须考虑的 最重要因素之一);美国采取了避免直接冲突 的一些措施(抄材料:美国在越南问题上的困境,以及从 亚洲收缩力量的需 要,对美国的对外政策做出了重大调整 )。
(2)根据材料并结合所学知识,分析美国结束越南战争的原因。(7分)评分标准:4点,任意3点满分,每点2分。分点摘抄材料按要点给分,大段摘抄材料的只给2分;有明确时间信息但错误的不给分,不写时间的给分。国内反战运动的高涨(加国际、各国不给分);调整国际战略,改善与中国的关系(任意一点即可,但答战略或政策调整不给分;抄材料:从亚洲收缩力量的需要;对美国的对外政策做出了重大调整);战争给经济造成巨大负担(必须强调战争带来的经济的影响);战争胜利无望,欲从战争中脱身(抄材料:国在越南问题上的困境)。真题回顾5(2016 全国卷I T48)[历史——选修4:中外历史人物 评说](15分)材料:随着 唐朝的发展,由少数民族将 士组成的“蕃兵”“蕃将”,成为唐朝开 边拓土的重要力量 ,高丽人高仙芝出身于将门之 家,唐玄宗开元后期出 任安西副都护府,镇守西域。天宝六年( 747), 高仙芝率一万骑兵 ,历经艰难险阻,长途奔袭阻断西 域商路的小勃律( 今克什米尔境内),俘其国王,经此一 役,“诸胡七十二 国皆震慑降附”。
天宝八年( 749),高 仙芝以石国(依附 于唐朝的西域小国)不守蕃属之礼为由 ,率军征讨,大肆 杀掠,掠得大量金银珠宝,“皆入其家 ”。石国王子召引 大食(阿拉伯帝国)军队进攻唐安西四 镇,与高仙芝率领 的唐军战于怛逻斯城(在今哈萨克斯坦 共和国境内),唐 军大败,自此,唐朝在西北疆域的扩展 受阻。——摘编自白寿彝主编《中国通 史》评分细则(1)根据材料并结合所学知识,概括高仙芝成为唐朝名将的时代背景。(9分)评分标准:9分,5个分点每点2分,4点9分。强大的综合国力(答经济发展或经济发展较快不给分);中外文化交流频繁(必须强调对外,答对内不给分);对外贸易繁荣;积极的边疆政策(必须从中央的视角答题);开放的民族政策与用人政策(抄材料:随着唐朝的发展,由少数民族将士组成的“蕃兵”“蕃将”,成为唐朝开边拓土的重要力量给4分;答个人方面的不给分)。
(2)根据材料并结合所学知识,评述高仙芝的功过。(6分)评分标准:3个点共6分,每点2分,分两个方面进行评价。维护唐朝的统治(要答维护国家的作用);为丝绸之路的畅通与西域稳定做出过贡献(答西域地方方面的作用;抄材料:镇守西域;诸胡七十二国皆震慑降附);个人贪婪一定程度上影响了唐朝的西域开拓(要答个人对国家大局方面的影响,只答个人方面的不给分或抄材料:唐朝在西北疆域的扩展受阻)。
政 治
2019全国1卷评分细则
38.阅读材料,完成下列要求。(14分)
当前,中国是世界第二大货物贸易进口国、第二大服务贸易进口国,货物和服务年进口值均占全球1/10左右。2018年11月,中国进一步降低石材、陶瓷、机电等1585个税目商品的最惠国税率,关税总水平由2017年的9.8%降至7.5%,平均降幅达23%。同月,全球首个以进口为主题的国家级展会中国国际进口博览会在上海举行,来自170多个国家、地区的3600多家企业参展,现场展示了法国葡萄酒、阿根廷红虾、美国智能车载空气净化....进博会吸引了40多万名境内外采购商,累计意向成交578.3亿美元,其中1/4以上为智能及高端设备。中国扩大进口“大蛋糕”的清单上,既包括数控机床、智能終端、精密医疗设备、新型汽车、先进民用飞机等高技术产品,也包括个人电子产品、农产品、食品、服装、化妆品等日用消费品。结合材料并运用经济生活知识,说明中国进一步扩大进口对国内经济的积极影响。参考答案:降低关税,增加进口,繁荣生产与消费市场;激发市场竞争,促进供给侧结构性改革,推动产业转型升级;丰富消费品市场供给,降低消费成本,更好满足消费者美好生活需要;带动技术引进,促进产品创新研发,推进经济发展动能转换。评分细则:38.降低关税,增加进口,繁荣生产与消费市场;(2分)【答出其中的任何一点均可给2分。】补充:如无答上述任何一点,以下表述“提高开放型经济水平”、“放宽市场准入”、“扩大服务业对外开放”、“利用两种市场两种资源”等给1分。激发市场竞争,促进供给侧结构性改革,推动产业转型升级;(4分)【答出三点给4分。答出其中任何一点可给2分,答两点给3分。】补充:替代表述为“提高竞争力”或“倒逼企业……”“促进产业结构升级”等。丰富消费品市场供给,降低消费成本,更好满足消费者美好生活需要;(4分)【答出全部三点给4分。答出其中的任何一点可给2分,两点给3分。】补充:替代表述“消费品多样化”等。带动技术引进,促进产品创新研发,推进经济发展动能转换。(4分)【答出全部三点给4分。答出其中任何一点可给2分,两点给3分。】补充:替代表述“推动技术创新”、“推动经济高质量发展”或“促进经济发展”注意:任何一点不能重复给分!替代表述不能重复给分!39.阅读材料,完成下列要求,(12分)2019年是中华人民共和国成立70周年,人民政协也将迎来70华诞,人民政协是国家治理体系的重要组成部分。第十三届全国政协委员由34个界别组成,包括中国共产党,8个民主党派,无党派民主人士,人民团体、各少数民族和各界的代表,台湾同胞,港澳同胞和归国侨胞的代表,以及特别邀请的人士。2018年,全国政协召开了1次全体会议、2次专题议政性常委会会议、2次专题协商会、19次双周协商座谈会、2次网络议政选程协商会、1次网络讨论会、18次对口协商会、4次提案办理协商会,进步形威常态化、多层次、各方面有序参与的协商议政格局。结合材料并运用政治生活知识,说明人民政协在国家治理体系中的地位和作用。参考答案:人民政协是中国人民爱国统一战线组织,是中国共产党领导的多党合作和政治协商的重要机构,是我国政治生活中发扬社会主义民主的重要形式。人民政协汇聚了各党派团体、各族各界代表人士,具有独特的政治优势;聚焦党和国家中心任务,参政议政、民主协商和民主监督;通过制度化、程序化、规范化的安排集中各种意见和建议。推动决策科学化民主化,推进国家治理体系和治理能力现代化。评分细则:39.地位(共6分):人民政协是中国人民爱国统一战线组织(1分),是中国共产党领导的多党合作和政治协商的重要机构(1分),是我国政治生活中发扬社会主义民主的重要形式(1分)。人民政协汇聚了各党派团体、各族各界代表人士(1分),具有独特的政治优势 /具有中国特色的制度安排(1分);是国家治理体系的重要组成部分(1分)。作用(共6分):聚焦党和国家中心任务,参政议政(1分)民主协商 / 政治协商(1分)和民主监督(1分);通过制度化、程序化、规范化的安排集中各种意见和建议(1分),推动决策科学化和(或)民主化(1分),推进国家治理体系和治理能力现代化(1分)。【以上三点答对任意2点给3分】40.阅读材料,完成下列要求。(26分)走进北京市西胡林村、天津市六街村等传统村落,我们能够欣赏风格独特的民居建筑。丰富多样的村镇空间格局,品味具有浓郁地方特色的俚语方言,家风家训、乡约乡规,民情风俗,感受人与自然和谐共生的文化韵味。传统村落承载着绚丽多彩的农耕文化,寄托着一代又一代中华儿女的情感记忆和绵远乡愁,是我国乡村历史、文化、自然遗产的“活化石"。 随着工业化、城镇化的快速发展,传统村落衰落、消失的现象时有发生。例如:不少传统村落因缺少产业支撑,医疗、文化、教育等公共服务不能满足现代生活需要,导致人口流失严重,甚至出现“空心化”;古民居、古建筑得不到及时修缮和维护,自然毁损严重;传统工匠越来越少,传统建筑工艺、传统艺术日渐失传;在旅游开发过程中,无视传统村落的自然、历史、文化等个性化特征而盲目拆旧建新、拆真建假,对传统建筑、历史风貌造成破坏性影响,导致“千村一面”。保护、传承和利用好传统村落,是实施乡村振兴战略和增强中华文化自信的内在要求。2012年以来,我国大部分传统村落已被列为保护对象。(注:传统村落是指拥有物质形态和非物质形态文化遗产,具有较高的历史、文化、科学、艺术、社会、经济价值的村落。)(1)有人说:“随着经济社会不断发展,传统村落必然走向消亡。”运用文化生活知识对此观点加以评析。(10分)
参考答案:(1)文化是经济和政治的反映,随着经济和社会的发展,文化也会变化发展。传统村落具有鲜明的地域文化和民族文化特色;随着工业化、城镇化得发展,传统村落的生存和发展面临困难;顺应时代要求和人们对美好生活的向往,进行创造性地保护和利用,传统材落就能焕发出新的生机和压力。评分细则:40.(1)文化是经济和政治的反映(1分),随着经济和社会的发展,文化也会变化发展(2分)。补充:经济是文化的基础/ 文化与政治、经济具有交融性/ 文化具有相对独立性(稳定性)(1分)【写文化的反作用不合题意,不得分】传统村落具有鲜明的地域文化和民族文化特色(2分);补充:区域文化 / 一方水土、一方文化/ 民族性 / 地方特色(2分)随着工业化、城镇化的发展,传统村落的生存和发展面临困难(2分);(无补充答案)顺应时代要求和人们对美好生活的向往(1分),进行创造性地保护和利用(1分),传统村落就能焕发出新的生机和活力(1分)。补充:上述给分点答到任意两个,可给3分;创造性转化、创新性发展 / 继承传统、推陈出新(3分)取其精华、去其糟粕(1分)(2)保护、传承和利用传统村落需要增强人们的文化自觉意识。结合材料,运用意识能动作用原理对此加以说明。(10分)参考答案:(2)意识是物质的能动的反映,又对物质具有能动的反作用。人们在意识的指导下能动地认识世界、改造世界。增强文化自信、引导人们正确认识传统材落的历史文化价值。更加自觉地加以保护和传承;克服错误观念,避免破坏性开发,把保护、传承与利用有机统一起来。评分细则:40.(2)意识是对物质的能动的反映,又对物质具有能动的反作用,人们在意识的指导下能动地认识世界、改造世界。(4分)A.答到“意识是对物质的能动的反映,又对物质具有能动的反作用”或者“人们在意识的指导下能动地认识世界、改造世界”,给4分;B.答到“能动的反映”或者“认识世界”,给2分;如答“意识活动具有目的性、自觉选择性、主动创造性、主观能动性”,给1分;C.答到“能动的反作用”或者“改造世界”,给2分;如答“正确的意识促进事物的发展,错误的意识阻碍事物的发展”,给2分;如答“意识对于人体生理活动具有调节和控制作用”,不给分;增强文化自觉,引导人们正确认识传统村落的历史文化价值,更加自觉地加以保护和传承;(3分)A.答到“引导人们正确认识传统村落的历史文化价值”或者“更加自觉地加以保护和传承”给2分;B.答到以上两点,给3分;克服错误观念,避免破坏性开发,把保护、传承与利用有机统一起来。(3分)A.答到“克服错误观念”或者“避免破坏性开发”,给2分;B.答到以上两点,给3分。(3)结合材料,就保护和利用传统村落提出三条建议。(6分)参考答案:(3)利用传统材落品牌,发展特色乡村旅游。开发特色手工艺产品,传承传统技艺。修缮古民居、古建筑,完善基础设施,增强传统材落吸引力。开展民俗节庆,寻根问祖活动,传承历史文化。评分细则:40.(3)利用传统村落品牌,发展特色乡村旅游。(2分)考生只要答出其中一点也可给2分,其他相近意思如“发展旅游业”“特色旅游”“乡村旅游”等也可给2分。开发特色手工艺产品,传承传统技艺。(2分)考生只要答出其中一点也可给2分,其他相近意思如“培养传统工匠”等也可给2分。修缮古民居、古建筑,完善基础设施,增强传统村落吸引力。考生只要答出其中一点也可给2分,其他相近意思如“维修、保护古村落”“完善公共服务设施”等也可给2分。开展民俗节庆、寻根问祖活动,传承历史文化。(2分)考生只要答出其中一点也可给2分。考生如作下列回答,每类给1分,不超过3分:1.加大宣传,提高保护意识类措施;2.建立完善保护机制、加强立法、政府出台政策、设立保护区类措施;3.加大、吸引投资类建议。
地 理
评分细则
真题回顾1
(2014·新课标全国文综Ⅰ)阅读图文资料,完成下列要求。下图所示区域海拔在4 500米以上,冬春季盛行西风,年平均大风(≥8级)日数157天,且多集中在10月至次年4月。青藏铁路在桑曲和巴索曲之间的路段风沙灾害较为严重,且主要为就地起沙。风沙流主要集中在近地面20~30厘米高度范围内。

(1)分析错那湖东北部沿岸地区冬春季风沙活动的沙源。(6分)(2)说明上述沙源冬春季起沙的原因。(5分)(3)简述风沙对该路段铁路及运行列车的危害。(7分)(4)针对该路段的风沙灾害,请提出防治措施。(6分)评分细则(1)标准答案:多条河流在此注入错那湖,泥沙沉积,河口三角洲面积较大(2分)。冬春季河流水位低,河滩泥沙裸露(2分);错那湖水位低,(因河口外湖区水深较浅)出露的湖滩泥沙面积较大(2分)。其他答案:河流含沙量大或河流携带泥沙多或河口三角洲泥沙沉积或河口三角洲面积大或泥沙堆积、沉积(2分);冬春季河流水量小或处于枯水期,河床泥沙裸露(2分);错那湖水量小,湖岸出露面积大(2分);人类不合理的活动(或过度放牧;土地荒漠化;土地退化;植被破坏;植被覆盖率低),使表土疏松(或土质疏松)(2分)。错误答案:只答“泥沙多”(0分);“西风从中亚、西亚携带沙尘堆积”(0分);只答“河流处于枯水期”“湖泊水量小”(0分);“土质疏松”“过度开垦”(0分)。
(2)标准答案:冬春季气候干燥(降水少)(2分),地表缺乏植被(草)的保护(2分);大风多,湖面较宽阔,西风经湖面无阻挡,沙源东部为河谷,风力强劲(1分)。(说明:答对其中一点得2分,两点得4分,三点得满分5分)其他答案:冬春季干旱或土地干燥(2分);沙源东部为河谷,狭管效应,风力强劲(2分);大风天数多(2分);湖面摩擦力小(2分)。(最多得5分)错误答案:只答“降水少”或“植被破坏”或“西北风”或“山地摩擦力小”(0分)。
(3)标准答案:(铁路路基较高)风沙堆积,填埋路基和轨道(2分);侵蚀路基(和路肩)(2分);损害机车车辆和通信、信号设备等,加大钢轨、车轮等设备的磨损(2分);影响运行列车安全(1分)。其他答案:铁轨上沙粒沉积(2分);对铁路损害大(2分),对列车产生危害或影响正常行驶(2分);造成交通事故(1分)。错误答案:风化侵蚀路基(0分);对列车产生影响(0分);影响列车速度、方向(0分)。
(4)标准答案:(阻沙措施)在铁路两侧设立阻沙墙(高立式沙障)(2分)。(固沙措施)在沙地上用碎石等覆盖沙面(2分),设置石(草)方格沙障(2分)。其他答案:设立阻沙屏障(2分);(生物措施)种草,提高植被覆盖率或单答提高植被覆盖率(2分);增加绿化面积(2分)。答“工程措施”“阻沙措施”“固沙措施”“生物措施”只得2分。错误答案:设立护栏(0分);防护网(带)(0分);防河大坝(堤)(0分);增加绿化面积(0分);只答“植树造林”(0分)。真题回顾2(2015·全国文综Ⅱ)阅读图文材料,完成下列要求。尼日利亚人口超过1亿,经济以农矿业为主。2014年11月20日,尼日利亚与我国正式签署了沿海铁路项目商务合同。该项目总金额达119.7亿美元,全线采用中国铁路技术标准,是截至当时中国对外工程承包史上单体合同金额最大的项目。下图示意尼日利亚铁路的分布。

(1)简述尼日利亚沿海地区的气候特点,以及针对此气候特点,我国相关人员在建设该铁路时,为保障身体安康,需要防范的问题。(6分)(2)指出因尼日利亚沿海铁路项目而可能获益的我国主要工业部门。(4分)评分细则
(1)标准答案:气候特点:(纬度低,属热带雨林气候)全年高温多雨。(3分)需要防范的问题:中暑;晒伤;食物中毒;毒虫叮咬;野生动物侵袭;疫病;瘴气等。(3分)(答对1项得1分。其他合理答案可酌情评分。本小题满分不得超过3分。)其他答案:气候特点:纬度低,常年受赤道低气压控制,全年气温高降水多。(3分)需要防范的问题:防止晒伤;气温高,容易中暑;动植物种类非常多,有些动植物有毒,防止吃到有毒的食物和被毒虫叮咬,动植物遗体易腐烂,防止有毒的气体等。(3分)(答对1项得1分。其他合理答案可酌情评分。本小题满分不得超过3分。)错误答案:气候特点:全年高温,分干湿两季。(0分)需要防范的问题:旱涝灾害、缺氧、冻伤。(0分)
(2)标准答案:钢铁、机械、机车制造、电子通信、管线、建材等与铁路建设和列车制造有关的部门。(4分)(答对1项得1分,答对4项即可得4分。本小题满分不得超过4分。)
其他答案:钢铁工业、机械制造业、机车制造业、电子通信制造业、建筑材料、管线制造业等。(4分)(答对1项得1分,答对4项即可得4分。本小题满分不得超过4分。)错误答案:钢铁厂、机械厂、机车厂、建筑材料厂、管线制造厂等。(0分)真题回顾3(2015·全国文综Ⅰ)阅读图文材料,完成下题。多年冻土分为上下两层,上层为夏季融化,冬季冻结的活动层,下层为多年冻结层。我国的多年冻土主要分布于东北高纬度地区和青藏高原高海拔地区。东北高纬地区多年冻土南界的年平均气温在-1℃~1℃,青藏高原多年冻土下界的年平均气温约为-3.5℃~-2℃。
由我国自行设计、建设的青藏铁路格(尔木)拉(萨)段成功穿越了约550千米的连续多年冻土区,是全球目前穿越高原、高寒及多年冻土地区的最长铁路。多年冻土的活动层反复冻融及冬季不完全冻结,会危及铁路路基。青藏铁路建设者创造性地提出了“主动降温、冷却路基、保护冻土”的新思路,采用了热棒新技术等措施。图a示意青藏铁路格拉段及沿线年平均气温的分布,其中西大滩至安多为连续多年冻土分布区。图b为青藏铁路路基两侧的热棒照片及其散热工作原理示意图。热棒地上部分为冷凝段,地下部分为蒸发段,当冷凝段温度低于蒸发段温度时,蒸发段液态物质汽化上升,在冷凝段冷却成液态,回到蒸发段,循环反复。

根据热棒的工作原理,判断热棒散热的工作季节(冬季或夏季),简述判断依据;分析热棒倾斜设置(图b)的原因。(8分)评分细则标准答案:季节:冬季(2分)。依据:冬季气温低于地温(1分),热棒蒸发段吸收冻土的热量,(将液态物质汽化上升,与较冷的地上部分管壁接触,凝结,释放出潜热,)将冻土层中的热量传送至地上(大气)(2分)。热棒倾斜设置的原因:使棒体能深入铁轨正下方(1分),保护铁轨下的路基(多年冻土)(2分)。其他答案:季节:冬季(2分)。依据:当地上部分气温低于地下部分时,热棒散热。因此冬季时,地上部分气温低于地下部分,可以起到散热的作用。(3分)热棒倾斜设置的原因:热棒倾斜可以增大与铁轨路基的接触面积(1分),巩固铁轨下的路基(2分)。错误答案:季节:夏季(0分)。依据:冬季地温低于气温(0分),增大接触面积(0分)。热棒倾斜设置的原因:固定路基(0分),保护铁轨(0分),保护冻土(0分),有利于列车正常运行(0分)。
文 综
评分细则
文综答题要有条理,根据关键词作答。如下图:


以上就是东南教育网整理的2021年高考各科评分细则公布,九科全!相关内容,想要了解更多信息,敬请查阅东南教育网。
本文标题:2021年高考各科评分细则公布,九科全!
wap地址: https://m.dngk.com/newsdetail/73742.html