当前位置:首页 > 高考试题 > 数学

2020年黑龙江高考理科数学试题及答案解析

今天,东南教育网小编为大家带来了2020年黑龙江高考理科数学试题及答案解析,希望能帮助到大家,一起来看看吧!

2020全国2卷高考理科数学试题及答案解析

2020年黑龙江高考理科数学试题及答案解析

2020年黑龙江高考理科数学试题及答案解析

2020年黑龙江高考理科数学试题及答案解析

选择题

2020年黑龙江高考理科数学试题及答案解析

2020年黑龙江高考理科数学试题及答案解析

填空题

2020年黑龙江高考理科数学试题及答案解析

2020年黑龙江高考理科数学试题及答案解析

17、

2020年黑龙江高考理科数学试题及答案解析

2020年黑龙江高考理科数学试题及答案解析

18、

2020年黑龙江高考理科数学试题及答案解析

(3)根据各地块间植物覆盖面积进行分层抽样

19、

2020年黑龙江高考理科数学试题及答案解析

20、

2020年黑龙江高考理科数学试题及答案解析

21、

2020年黑龙江高考理科数学试题及答案解析

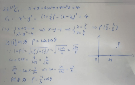
22、

2020年黑龙江高考理科数学试题及答案解析

23、

2020年黑龙江高考理科数学试题及答案解析

试题及答案

来源:百度文库、辰轩学府

以上就是东南教育网整理的2020年黑龙江高考理科数学试题及答案解析相关内容,想要了解更多信息,敬请查阅东南教育网。

责任编辑:
本文标题:2020年黑龙江高考理科数学试题及答案解析
wap地址: https://m.dngk.com/newsdetail/73972.html

与“2020年黑龙江高考理科数学试题及答案解析”相关推荐