今天,东南教育网小编为大家带来了武汉音乐学院2022年普通本科招生专业和各省统考子科类对照表,希望能帮助到大家,一起来看看吧!
高考,是每位学子求学路上往上攀爬的必经之路。信心来自于实力,实力来自于勤奋。然而高考成功除了努力学习之外,及时掌握新的高考信息,以及不断变化的高考政策,也是很重要的。其中武汉音乐学院2022年普通本科招生专业和各省统考子科类对照表,就受到很多考生和家长关注。今天东南教育网小编整理了武汉音乐学院2022年普通本科招生专业和各省统考子科类对照表相关信息,希望在这方面能够更好的帮助到考生及家长。
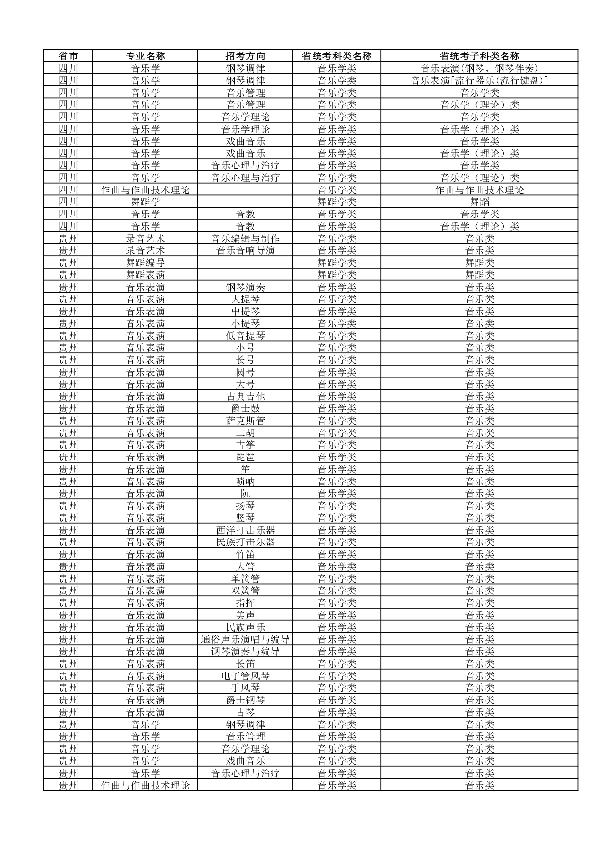
武汉音乐学院2022年普通本科招生专业和各省统考子科类对照表
东南教育网小编推荐:
武汉音乐学院就业状况如何 读研率高吗
武汉音乐学院院系有哪些 院系设置介绍
2021武汉音乐学院奖学金有哪些 奖学金一般多少钱?
普通本科招生专业和各省统考子科类对照表






























以上,就是东南教育网小编给大家带来的武汉音乐学院2022年普通本科招生专业和各省统考子科类对照表全部内容,希望对大家有所帮助!
以上就是东南教育网整理的武汉音乐学院2022年普通本科招生专业和各省统考子科类对照表相关内容,想要了解更多信息,敬请查阅东南教育网。
本文标题:武汉音乐学院2022年普通本科招生专业和各省统考子科类对照表
wap地址: https://m.dngk.com/newsdetail/75387.html
上一篇:专业代码是几位数 怎么查询
下一篇:如何查询自己的专业代码