当前位置:首页 > 高考试题 > 数学

2020广西高考文科数学试题及答案解析【word精校版】

今天,东南教育网小编为大家带来了2020广西高考文科数学试题及答案解析【word精校版】,希望能帮助到大家,一起来看看吧!

2020广西高考文科数学答案解析

选择题

B 2.D 3.C 4.C 5.B 6.A 7.B 8.B 9.C 10.A 11.C 12.D

填空题

13、13.7

14、√3

15、1

16、2π

简答题

17.

18.

2020广西高考文科数学试题及答案解析【word精校版】

19.

2020广西高考文科数学试题及答案解析【word精校版】

20.

2020广西高考文科数学试题及答案解析【word精校版】

21.

2020广西高考文科数学试题及答案解析【word精校版】

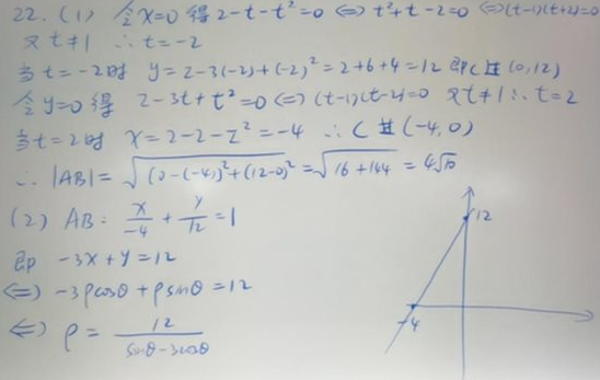
22.

2020广西高考文科数学试题及答案解析【word精校版】

23.

2020广西高考文科数学试题及答案解析【word精校版】

2020高考理科数学试题

2020广西高考文科数学试题及答案解析【word精校版】

2020广西高考文科数学试题及答案解析【word精校版】

2020广西高考文科数学试题及答案解析【word精校版】

2020广西高考文科数学试题及答案解析【word精校版】

2020广西高考文科数学试题及答案解析【word精校版】

2020广西高考文科数学试题及答案解析【word精校版】

以上答案解析来源:百度文库,仅供参考。

以上就是东南教育网整理的2020广西高考文科数学试题及答案解析【word精校版】相关内容,想要了解更多信息,敬请查阅东南教育网。

责任编辑:
本文标题:2020广西高考文科数学试题及答案解析【word精校版】
wap地址: https://m.dngk.com/newsdetail/76207.html

与“2020广西高考文科数学试题及答案解析【word精校版】”相关推荐